1
svar
277
visningar
destiny99 behöver inte mer hjälp
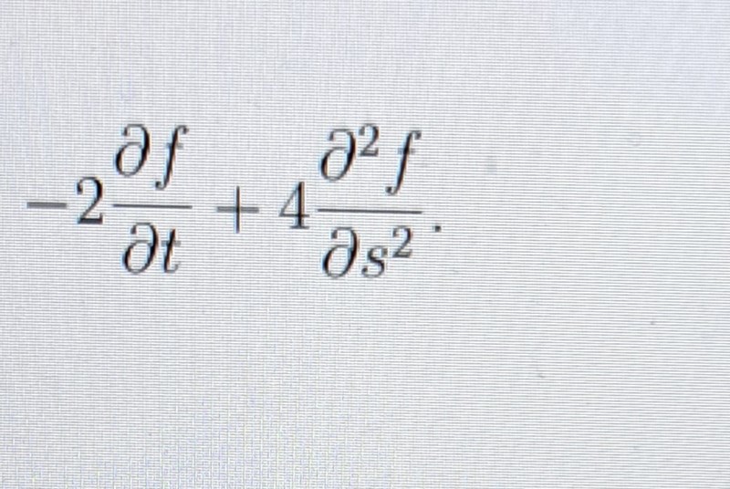
Transformera uttrycket genom de nya variablerna



Hej!
Såhär långt kom jag med lösningen och facit får det såhär istället (se bild nedan). Vad är felet med min lösning ovan? Var får de ifrån den extra termen med df/dt?

Vad hände med derivatan av 1/x med avseende på s (resp. med avseende på t)? En sådan faktor förekommer på flera ställen i andra ordningens derivator, men jag ser inte någonstans vad det blivit.

Notera att enligt det föreslagna variabelbytet.
Hur som helst så skulle jag rekommendera att du inte tillämpar kedjeregeln i andra derivator alldeles för tidigt eftersom det leder till onödiga krångel. Gör följande istället: