0
svar
216
visningar
destiny99 behöver inte mer hjälp
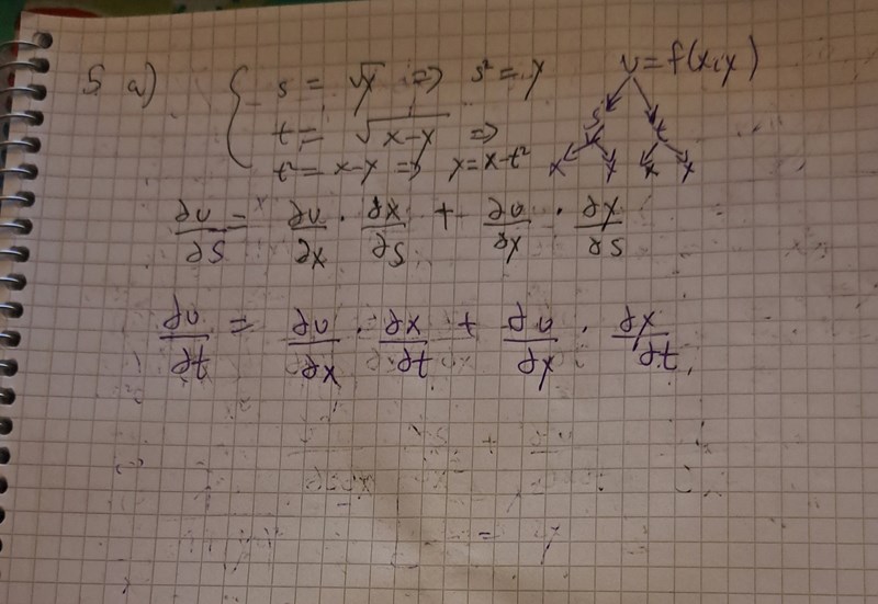
Transformera uttrycket i de nya variablerna


Hej!
Jag fastnade på a) och skulle behöva ledtråd till b) frågan också. Jag är inte så bra på det här andra derivatan av kedjeregeln och gjorde på det sättet ovan. Stämmer det för att lösa a)?