Transformera vektorfältet till sfäriska koordinater


Hej!
Jag förstår inte vad facit menar med u=e_r*u_r+e_theta*u_theta och vad de menar med den där check som de visar?
Det är ju vad uppgiften går ut på, att uttrycka fältet u i sfäriska koordinater.
I kartesiska koordinater har du att u = uxex + uyey + uzez = xex + yey.
I sfäriska koordinater har du att u = .
I facit utgår man från att man vet eller inser att u = i cylinderkoordinater och att man dessutom vet hur man uttrycker i sfäriska basvektorer. Då får man en dubbelcheck på att man gjort rätt.
PATENTERAMERA skrev:Det är ju vad uppgiften går ut på, att uttrycka fältet u i sfäriska koordinater.
I kartesiska koordinater har du att u = uxex + uyey + uzez = xex + yey.
I sfäriska koordinater har du att u = .
I facit utgår man från att man vet eller inser att u = i cylinderkoordinater och att man dessutom vet hur man uttrycker i sfäriska basvektorer. Då får man en dubbelcheck på att man gjort rätt.
Så om man fått korrekt på vad u_r och u_theta blir som de fått. Hur ska jag komma fram till att u kan skrivas som u_re_r+u_thetae_theta som de gjort? Jag är familjär med u_r=u*e_r osv för det var så jag hittade komponenterna uttryckta i sfäriska basen och vi vet att u=(u_r,u_theta , u_phi) i sfäriska koordinater och i kartesiska koordinater blir det ju u=(ux,uy, uz).
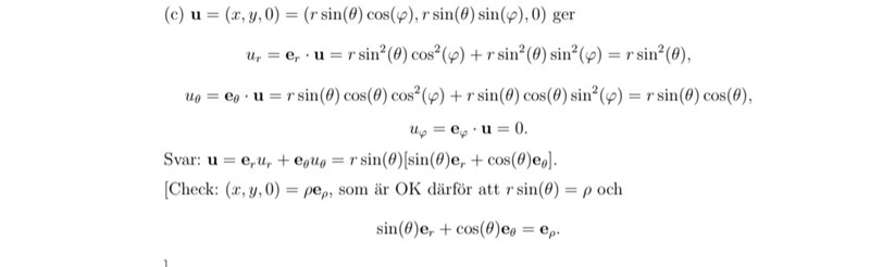
men om man vet vad rho*e_rho är i cylinderkoordinater är så förstår jag inte vad de försöker visa på denna rad från check och nedåt . Se bild:

Det är ju så som man, per definition, skriver ett vektorfält i sfäriska koordinater. Man uttrycker fältet mha de basvektorer som hör till det sfäriska koordinatsystemet. Inget man behöver komma fram till, utan något som man vet.
Checken går ju ut på att man vet eller inser direkt hur fältet kan skrivas i cylinderkoordinater och om man vidare vet hur man omvandlar från cylinderkoordinater till sfäriska koordinater så får man ett alternativt sätt att ta fram svaret. Det blir en extra check på att man gjort rätt.
PATENTERAMERA skrev:Det är ju så som man, per definition, skriver ett vektorfält i sfäriska koordinater. Man uttrycker fältet mha de basvektorer som hör till det sfäriska koordinatsystemet. Inget man behöver komma fram till, utan något som man vet.
Checken går ju ut på att man vet eller inser direkt hur fältet kan skrivas i cylinderkoordinater och om man vidare vet hur man omvandlar från cylinderkoordinater till sfäriska koordinater så får man ett alternativt sätt att ta fram svaret. Det blir en extra check på att man gjort rätt.
Ok. Men om man inte kommer på att fältet kan skrivas som cylinderkoordinater och omvandlar till sfäriska koordinater för att se om man gjort rätt,finns det annat sätt man kan dubbelkolla att man gjort rätt?
Jovisst, du kan skriva u som u = r - (r•ez)ez och utnyttja att r = rer i sfäriska koordinater.
PATENTERAMERA skrev:Jovisst, du kan skriva u som u = r - (r•ez)ez och utnyttja att r = rer i sfäriska koordinater.
Jag kom på att man kan transformera tillbaka till kartesiska koordinater som uppgiften gav oss och använda resultatet som vi fått dvs u=u_re_r+u_theta*e_theta
Ja, det funkar också.