Translations och rotationsenergi


Jag förstår inte varför translationen inte är med i ekvationen. Jag tänker att något har rotations och rörelseenergi (dvs translationsenergi) om det roterar och åker framåt och det gör väl cylindern i fråga? Jag förstår om man skulle säga att den endast har rotation om cylindern typ skulle sitta fast och rotera. Eller tänker jag helt fel? Translation innebär väl att masscentrum rör på sig och det gör väl cylinderns masscentrum?
Varför ska man ta rotationen utifrån C, och inte masscentrum? Är det det som gör att den inte har en translation? Jag är förvirrad
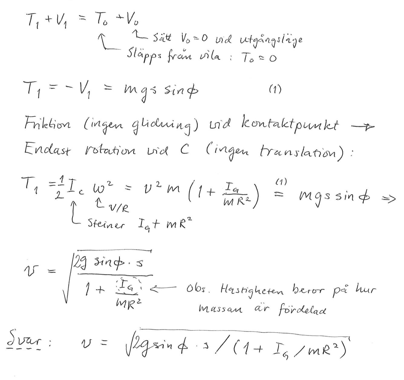
C är ett momentancentrum, så kroppens rörelse kan ses som enbart rotation runt C.
Det går lika bra att räkna med t.ex masscentrum som referenspunkt.
Dr. G skrev:C är ett momentancentrum, så kroppens rörelse kan ses som enbart rotation runt C.
Det går lika bra att räkna med t.ex masscentrum som referenspunkt.
okej, är inte helt säker på om jag har helt fattat momentancentrum men rör sig inte C neråt och därmed translateras? Eller tänker man ögonblickligt eller något? Och om man skulle räkna med masscentrum som referenspunkt då har den väl translation?
om man räknar med masscentrum som referenspunkt
När det är rullning utan glidning så är kontaktpunkten alltid i vila. (Varje ögonblick får en ny kontaktpunkt.)
Om du tar masscentrum som referenspunkt så får du en translationsterm och en rotationsterm för rörelseenergin.