Transportprocesser (laminär strömning i rör)
Hej,
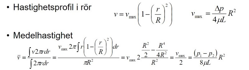
I den här härledningen visas att medelhastiheten för lamniär ströming i ett rör är hälften av den maximala hastigheten. Dock förstår jag inte vad om händer med nämnaren efter det andra likhetstecknet. Vi ser att 2rdr omskrivs till . Jag tolkar det därför som att 2rdr = .Hur kommer man fram till detta? Menar man att integralen av strömningstväsnittet av lilla r kommer motsvara strömingstväsnittet av den stora cylindern?

Tacksam för hjälp!
De integrerar från r=0 (dvs i rörets centrum) till r=R (dvs rörets innerdiameter).
Okej, men vad är det då som händer i det tredje steget i täljaren? Var får de stora R ifrån?
Är du fortfarande i nämnaren? R2 kommer från
Teraeagle skrev:Är du fortfarande i nämnaren? R2 kommer från
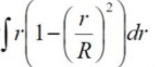
Aha, nu ser jag - tack! Det var längesen jag räknade med integraler. Jag tittar nu på

och udnrar hur de har gått vidare. Kan man betrakta r och R som samma variabel när man integrerar dessa? Om det inte finns något enkelt svar på detta behöver jag kanske se över partiell integration igen...
Nej, R är en konstant och r är en variabel. Multiplicera in r i parentesen - hur blir det då?
Smaragdalena skrev:Nej, R är en konstant och r är en variabel. Multiplicera in r i parentesen - hur blir det då?
Nu får jag rätt på det, men hur vet du att R är en konstant? Kunde man ''bestämma'' det om man bara ville se hur lilla r varierar?

R är beteckningen för röret innerdiameter, den är konstant så länge röret inte buktar in och ut (orimligt för ett metallrör/betongrör).