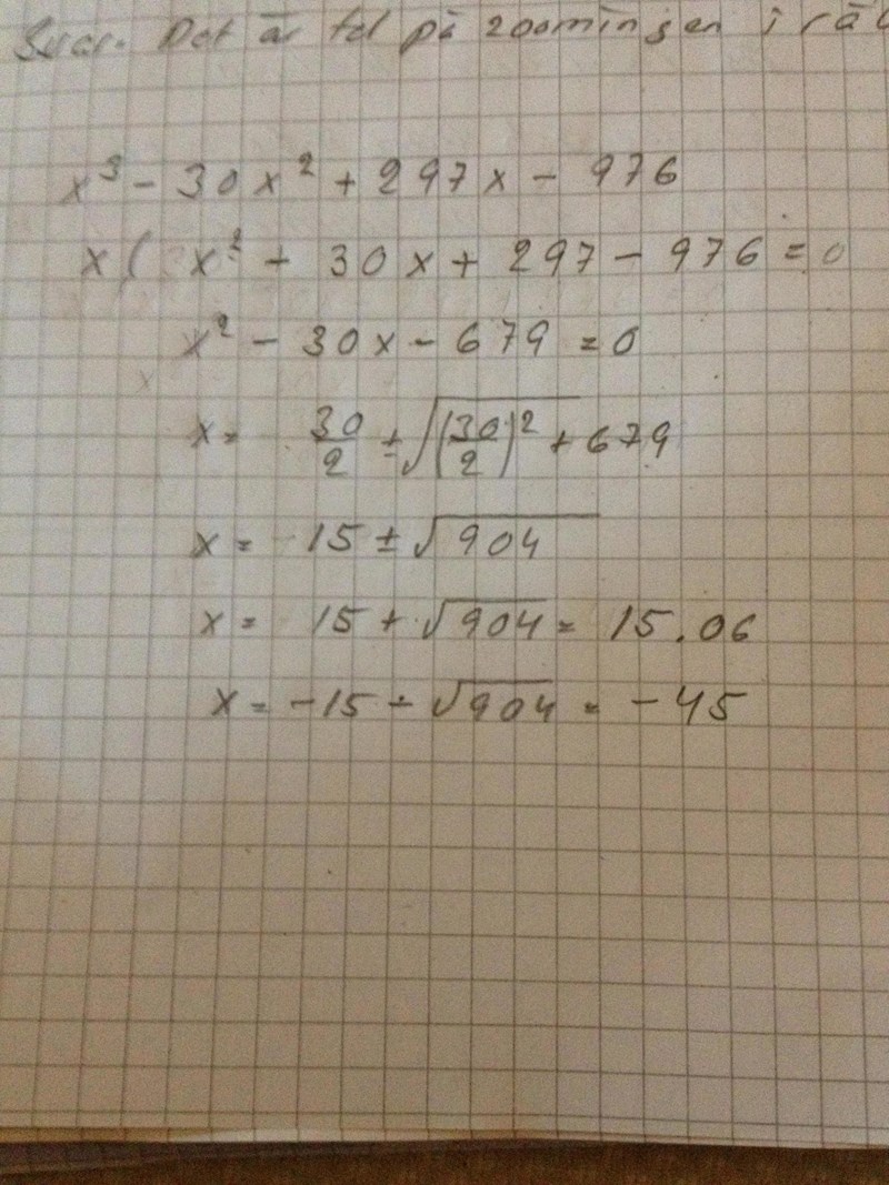
Tre gånger rättat men alltid fel svar enligt facit.
Kan ni hitta felet? Det är rätt skrivet i alla fall. Ska ta bild.
Ja felet är redan på andra raden. Du kan inte bryta ut x i den ekvationen och därmed kan du inte få ner den till en andragradare. Vad var uppgiften egentligen?
B uppgiften.
Kommer du att hitta nollstället till höger (större x-värden) eller till vänster om det man ser på bilden?
Inte hur mycket som hekst. Den är på väg ner efter ett tag.
Du ska bestämma roten med hjälp av miniräknare skulle jag tro.
Ja, det har jag inte lyckats med. Jag är inte riktigt van använda de här grafritande räknare. Jag testade Texas Instrunent TI -82. Jag får ingenting där. Texas Instrunent TI -85 har jag.
Nu vet jag inte om detta fungerar på din miniräknare, men iaf
1. Gå in på Y=
2. Skriv in -X^3 + 30*X^2 - 297*X + 976 på Y1 och 0 på Y2.
3. Gå in window och ställ in xmin=5, xmax=17, ymin=-10, ymax=10, du kan välja andra värden också om du vill.
4. Gå in på graph och se till så att du ser att kurvorna plottas
5. Gå in på Calc (tryck på 2nd sen trace), välj intersect
6. Sedan vid first curve? så tryck enter, sedan vid second curve? tryck enter. Vid Guess? så gör du så att krysset hamnar nära där kurvorna korsar varandra och sedan trycker du enter.
7. Läs av lösningen nere i vänstra hörnet.
Jag fick till 11. Detta kunde jag göra med Texas instrument TI-82
Nej 11 stämmer inte. Se till så att du skrivit in rätt funktioner i Y=.
Jag gör nytt prov. Texas Instrument TI-85 klarar jag inte av det.
Jag kom inget vart med det.
Du behöver inte skriva in y=0 som andrafunktion. I Calc menyn kan du välja zero så beräknar den nollställe. Du måste dock se nollstället i displayen för att den skall kunna beräkna.
Hur löste du a)-uppgiften?
Det går stigande värde på x ftån stora positiva värden till stora negativa värden. På bilden kan vi dra den slutsatsen att det skulle vara en nollställe.
Om det är så att det finns ett heltal x som ger f(x)=0, så är det heltalet en faktor i 976 eller -976.
Eftersom 976 = 16*61 = 2*2*2*2*61, så finns det inte jättemånga heltal att prova:
Bara 2, 4, 8, 16, 61, 122, 244, och 488 (och motsvarande negativa tal)
