tre olika läkemedel
Hej jag behöver hjälp med följande, rätta mig om jag har fel.
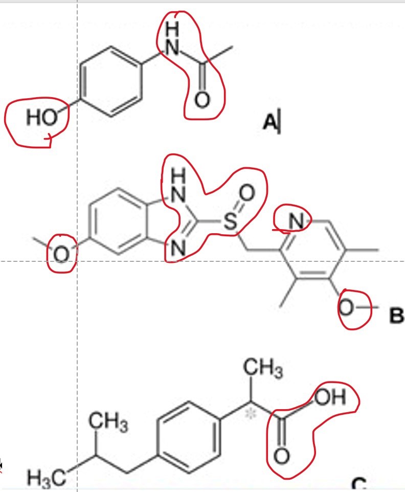
fråga a) jag tänker att A borde minst sannolikt binda till plasmaproteiner eftersom det ser ut som en liten hydrofil molekyl alltså har den medium Vd och det står att de oftast ej binder till plasmaproteiner.
fråga c) tänker 0,3 går till A (medium Vd), 0,15 går till C (stora laddade molekyler har låg vd, tänker att den är laddad pga att den har nån stjärna lik symbol) och då måste 0,9 gå till B


Mattehjalp skrev:Hej jag behöver hjälp med följande, rätta mig om jag har fel.
fråga a) jag tänker att A borde minst sannolikt binda till plasmaproteiner eftersom det ser ut som en liten hydrofil molekyl alltså har den medium Vd och det står att de oftast ej binder till plasmaproteiner.
Det låter rimligt, det är ett (relativt) hydrofilt ämne.
För fråga c) blir det nog lättare att diskutera om du motiverar varför du har parat ihop ämnena med distributionsvolymerna, som det står i frågan.
0,15 går till C (stora laddade molekyler har låg vd, tänker att den är laddad pga att den har nån stjärna lik symbol)
Nej snöflingan anger inte laddning. Laddning anges alltid med plus eller minus - precis som i t.ex. fysiken.
Precis vad snöflingan anger varierar nog, och den som gjorde/valde figuren får nog svara på det. En misstanke baserat på ämnets struktur är att snöflingan kan ange att kolatomen där är ett kiralt center eller att det är ett racemat, vilket dock saknar betydelse för ämnets distributionsvolym (i.a.f. för detta ämne).
så hur ska jag tänka kring fråga c)
Mattehjalp skrev:så hur ska jag tänka kring fråga c)
Du har en del information i din "farmakologi -2" bild. Det finns en skillnad i Vd för ämnena, och det blir till att lista ut vilket ämne som nog har lägst till högst värde.
Och du har börjat resonera kring vilket ämne som har lägst bindning till plasmaproteiner i uppgift a). Det är en av faktorerna som påverkar Vd, men inte den enda.
ska jag veta hur plasmaprotein respektive extrasvakulärq proteiner ser ut? Jag vet bara att protein består av aminosyror som består av aminogrupp och karboxylgrupp, vilket saknas i C (ingen aminogrupp). I A och B finns amino och karboxylgrupp.
Mattehjalp skrev:ska jag veta hur plasmaprotein respektive extrasvakulärq proteiner ser ut? Jag vet bara att protein består av aminosyror som består av aminogrupp och karboxylgrupp, vilket saknas i C (ingen aminogrupp). I A och B finns amino och karboxylgrupp.
Nej det spelar ingen roll hur proteinerna ser ut.
Skillnaden är kopplad till var i kroppen proteinerna befinner sig. Kroppen kan delas in/betraktas på flera vis. Distributionsvolymen är en volym vätska som skiljer sig åt, beroende på ämnets kemiska egenskaper.
Vissa ämnen sprider sig i hela kroppens volym, medans andra binder så gott som uteslutande till proteinerna vi har i blodet - så dessa teoretiska volymer är olika (den ena är väldigt stor motsvarande hela kroppen, medans den andra är bara några liter d.v.s. blodet).
Det enklaste är nog att titta på ämnenas funktionella grupper, och fundera över ämnenas egenskaper - för det är dessa egenskaper som avgör om/hur mycket ämnet t.ex. binder till plasmaproteiner, tar sig ut i hela kroppen och sprids ut där,
ja jag vet att låg vd finns i blodet för det mesta
mellan är jämnt fördelat över blodet och extracellulär vätskan
hög vd finns mest i organ/vävnader
Nu för och koppla detta till bilden, A har aminogrupp och fenol, vet inte vad man ska kalla dubbelbunda syret
B har massa grupper men vet inte vad de heter, inget vi gått igenom
C har karboxylgrupp
Vad kan jag dra för slutsats utifrån det?
Om ni inte har gått igenom de olika gruppernas egenskaper och deras påverkan på ämnets polaritet, blir det knepigt att motivera vilket Vd som tillhör vilket ämne, men för gymnasiet bör motivationen inte behöva vara så avancerad (i mitt tycke i alla fall).
Men du kan jämföra ämnen, vilken ser mest-mellan-minst hydrofil/polär ut?
A har redan listat ut som hydrofil (ganska polär).
B ser minst hydrofil ut för den saknar OH grupp vilket A och C har
Mattehjalp skrev:B ser minst hydrofil ut för den saknar OH grupp vilket A och C har
Både och C har en hydroxigrupp, till skillnad från B. Men B har flera andra grupper som är polära, de med: kväve, syre och svavel i. Och dessa bidrar till ämnets polaritet.
Hur pass hydrofilt ämnet blir, är en avvägning mellan opolära delar (t.ex. fenylgrupp) och polära grupper (t.ex. hydroxigrupp).
En lite större struktur med få helt polära grupper som B, kan vara jämförelsevis mer polär än ett annat ämnen med helt polära grupper ändå, genom att andra delar är polära. T.ex. bidrar de inringade delarna nedan till att öka polariteten/hydrofiliciteten.

Så ett sätt att betrakta ämnet är att jämföra hur stor del av strukturen som är opolär (de icke inringade delarna) med andelen som är mer/helt polär (som de inringade delarna).
Den enda delen av C som inte är opolär är karboxylsyragruppen.
Så A är mest hydrofil alltså har den medium vd
B kommer härnast
C är minst hydrofil
Om c är minst hydrofil kan jag då tänka att den är hydrofob och att den då får hög vd medan B blir låg Vd
Mattehjalp skrev:Så A är mest hydrofil alltså har den medium vd
B kommer härnast
C är minst hydrofil
Om c är minst hydrofil kan jag då tänka att den är hydrofob och att den då får hög vd medan B blir låg Vd
Ja det stämmer för polariteten, som påverkar hur ämnena binder till annat.
Sedan påverkar ju även inbindningen, eller snarare till vad ämnena binder mest. Och det är inte lika lätt att lista ut.
A är ganska hydrofil och löser sig i förhållandevis väl i allt kroppens vatten (jämfört med de två andra ämnena). Motsvarande exemplet med karbamazepin från dina slides.
B och C är mer hydrofoba, och binder därför gärna till proteiner, så deras Vd kommer vara mindre. Vilket ämne som hör ihop med vilket Vd är svårare att gissa sig till, men det ämne som är minst hydrofilt kommer binda mest till plasaproteiner.
Med de ledtrådar kanske du kommer vidare? Testa att koppla ihop ämnena med Vd värdena!
låg vd= C
Medium vd= B
hög vd= A
Mattehjalp skrev:
låg vd= C
Medium vd= B
hög vd= A
Ja det är rätt ordning.
Även om A har hög Vd 0,9 så har både A och B ganska låga Vd. Men i frågan behöver du inte ange hög/låg Vd, utan bara vilket ämne som har vilket värde, samt motivera varför du tror det är så.
Okej tack!!