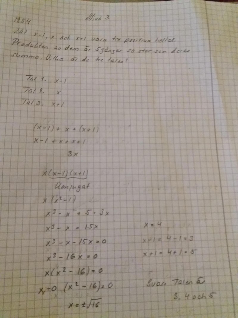
Det är en bra början. Produkten av de tre talen kan skrivas . Kan du förenkla det? Du vet sedan att den produkten ska vara fem gånger större än summan (3x). Då kan du skriva (förenklad produkt) = 5 * (summan). Kan du lösa det?
Det är rätt som det är. Om du förenklar ekvationen får du . Kan du lösa den? (PS: lös ut ett x)
Märkte du inte att jag hade gjort det?. X är noll. Vad menar du nu?
Oj, jag såg din första bild. :) Det ser bra ut, men du måste utesluta den negativa roten till x, (då x = -4) eftersom uppgiften kräver positiva lösningar.
Jag tog inte den negativa roten med, även jag skrev plus minus.
Jag såg det, men det kan vara bra att förtydliga att du förkastar en rot och varför. Vissa bedömningshänvisningar är väldigt hårda med det, och det är trist om du förlorar poäng i onödan. :)
Det är bra veta, Smutstvätt!
Tack för detta!
Hej!
Jag tror att Smutstvätt läst dina inlägg slarvigt Päivi. Du skrev redan i första inlägget att du söker efter positiva heltal som uppfyller de två egenskaperna. Du kom sedan fram till att talet 4 är det enda svaret och dina beräkningar är fullständigt korrekta.
Albiki
Albiki skrev :Hej!
Jag tror att Smutstvätt läst dina inlägg slarvigt Päivi. Du skrev redan i första inlägget att du söker efter positiva heltal som uppfyller de två egenskaperna. Du kom sedan fram till att talet 4 är det enda svaret och dina beräkningar är fullständigt korrekta.
Albiki
Hej igen! Det är talen 3,4,5 som är det enda svaret (inte bara talet 4 som jag skrev), eftersom man frågade efter tre stycken efterföljande tal.
Jag förstår Albiki!
Trevligt att du svarade.
Albiki skrev :Hej!
Jag tror att Smutstvätt läst dina inlägg slarvigt Päivi. Du skrev redan i första inlägget att du söker efter positiva heltal som uppfyller de två egenskaperna. Du kom sedan fram till att talet 4 är det enda svaret och dina beräkningar är fullständigt korrekta.
Albiki
Nja, jag har faktiskt läst inläggen noggrant.
Smutstvätt skrev:
Oj, jag såg din första bild. :) Det ser bra ut, men du måste utesluta den negativa roten till x, (då x = -4) eftersom uppgiften kräver positiva lösningar.
Lösningarna till ekvationen är fortfarande ±2, även om en rot inte uppfyller villkoren. Däremot måste den felaktiga roten sedan förkastas, såklart.
Smutstvätt skrev :Albiki skrev :Hej!
Jag tror att Smutstvätt läst dina inlägg slarvigt Päivi. Du skrev redan i första inlägget att du söker efter positiva heltal som uppfyller de två egenskaperna. Du kom sedan fram till att talet 4 är det enda svaret och dina beräkningar är fullständigt korrekta.
Albiki
Nja, jag har faktiskt läst inläggen noggrant.
Smutstvätt skrev:
Oj, jag såg din första bild. :) Det ser bra ut, men du måste utesluta den negativa roten till x, (då x = -4) eftersom uppgiften kräver positiva lösningar.
Lösningarna till ekvationen är fortfarande ±2, även om en rot inte uppfyller villkoren. Däremot måste den felaktiga roten sedan förkastas, såklart.
Varför 2 är lösningen Smutstvätt?
Jag tar min friheten har att tolka Smutstvätt:
Smutstvätt menar: .
Lösningen ger de tre heltalen: 4,5 & 6, vilket är godkända lösningar.
, ger heltalen -5,-4 & -3. Dessa är inte positiva så den lösningen kan förkastas.
Utifrån den ursprungliga ekvationen:
har vi dessutom lösningen .
Denna ger heltalen -1,0 & 1, men de är inte heller (inte alla tre talen) positiva, så den lösningen förkastas.
Jag tror att Smutstvätt bara ville att du skulle motivera (som jag gjort ovan) varför lösningarna och kan förkastas.
var alltså bara ett slarvfel.
tomast80 skrev :
x=±2 x = \pm 2 var alltså bara ett slarvfel.
--------
Jag tänkte det också att det var ett slarv fel av Smutstvätt.
Typ så, det var mest menat som ett exempel. 😅
Ok, Smutstvätt.


