4
svar
151
visningar
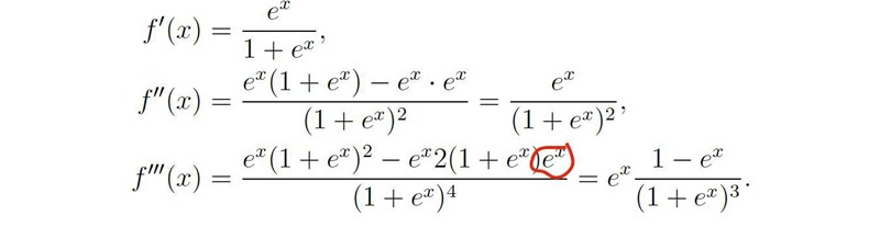
tredje derivata med kvotregel

sista ekvationen har jag använt kvotregeln för tredjederivatan, dock undrar jag vart de rödmarkerade kom ifrån?
Inre derivatan:
Det är väl inrederivatan av ?
tomast80 skrev:Inre derivatan:
är det kedjeregeln?