3
svar
211
visningar
ugglan123 behöver inte mer hjälp
Tredjegradsekvation
Visa spoiler
Skriv ditt dolda innehåll här

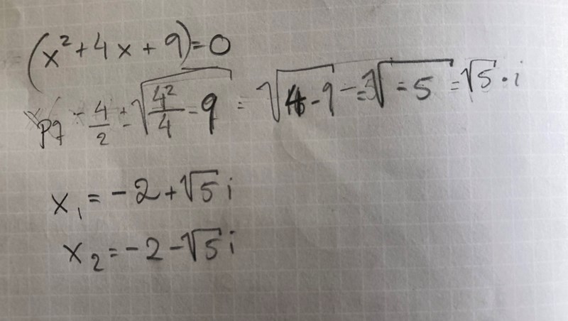
Men jag kan inte lösa b fullt ut eftersom pq formeln ger —> roten ur -5, vilket eller roten ur 5•i. Hur löser man b?
Det är riktigt att du kommer att få 2 st komplexa rötter. Vad får du?
Ser bra ut. Rätt svar.
