Tredjegradsekvation - hitta rötterna
Tredjegradsekvationen:
har tre reella rötter och är en reell konstant.
En rot är dessutom dubbelt så stor som en annan.
Går det att bestämma samtliga rötter till tredjegradsekvationen och vad blir de om så är fallet?
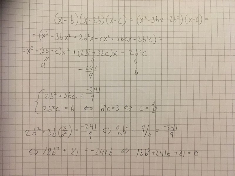
Jag tror det borde gå, men jag vet inte hur jag hittar rötterna 🤔 Är jag på rätt spår?
Micimacko skrev:Jag tror det borde gå, men jag vet inte hur jag hittar rötterna 🤔 Är jag på rätt spår?
Använd rationella rotsatsen!
Den säger att de möjliga rationella rötterna till detta polynom är faktorerna för den sista koefficienten dividerat med faktorerna för den första koefficienten. I detta fall är de möjliga rötterna alltså:
Vill du försäkra dig om att roten du hittar är den enda reella roten kan du beräkna polynomets diskriminant och visa att vilket medför att det enbart finns en reell rot.
WolframAlpha gav en snygg (d v s reell och enkel) lösning på tredjegradsekvationen, och visade även att ekvationen kan faktoriseras till .
Uppmuntrar du till fusk, smaragdalena? ;) Det gick att hitta en rot med rotsatsen, men vad hände med de andra? Vad har jag gjort för fel?
Ser bra ut ovan (en bit upp i tråden)! Lite ytterligare hjälp på vägen (ej nödvändigt, men underlättar lite) för den som önskar:
För funktionen: gäller att:
Gott Nytt År!
Notera att varför ekvationen kan skrivas
; jag skriver istället för .
Ekvationen kan skrivas
vilket visar att talet verkar spela en särskild roll här.
Micimacko skrev:Uppmuntrar du till fusk, smaragdalena? ;) Det gick att hitta en rot med rotsatsen, men vad hände med de andra? Vad har jag gjort för fel?
Du glömmer att denna ekvation inte är ursprungsekvationen, detta är enbart ett sätt för dig att lösa ut för .
Nu när du har -värdet kan du ta fram och ganska enkelt, och då är uppgiften löst.
Har jag tolkat det rätt att diskriminant betyder det där som blir under roten när man kvadratkompletterar? Tror jag fick ut a nu med nya ledtråden, men vet inte vad jag ska ha det till. 
Jag hade inte lagt märke till att frågan låg bland Kluringar, men jag skulle nog ha använt WolfraAlpha även om jag hade tänkt på det. Att använda sig at WolframAlpha när det inte är förbjudet är väl inte fusk?
AlvinB visar på en metod att visa att roten b = -1/3 är den enda reella roten, man kan också se det (som du har gjort) på att andragradsekvationen saknar reella lösningar. Detta stör oss inte.
När vi vet värdet på vi beräkna värdet på . Då vet vi ju de tre reella rötterna, och vi vet dessutom hr man kan beräkna värdet på den reella konstanten .
Med "det där som blir under roten när man kvadratkompletterar" menar du nog diskriminanten för en andragradsfunktion. Nu talar jag om diskriminanten för en tredjegradsfunktion. Det är ett tal som säger hur många nollställen polynomet har.
Diskriminanten för tredjegradspolynomet (där ) är nämligen:
den ger information i följande tre fall:
- : Polynomet har tre distinkta reella rötter.
- : Polynomet har en dubbel- eller trippelrot.
- : Polynomet har en reell rot och två komplexa rötter som är varandras konjugat.
Allt jag ville med detta vara att försäkra sig om att ekvationen inte har några fler lösningar än . Detta kan man också göra med polynomdivision och konstatera att den andra faktorn inte ger några reella lösningar som Smaragdalena påpekar.
Nu verkar det ju stämma, tror jag! :D Men det blir fel om jag använder den andra ledtråden och försöker derivera 🤔 
Micimacko skrev:Har jag tolkat det rätt att diskriminant betyder det där som blir under roten när man kvadratkompletterar? Tror jag fick ut a nu med nya ledtråden, men vet inte vad jag ska ha det till.
Du har satt istället för !
Ops.. 😂 Får skylla på att det här med tentaperiod segar ner hjärnan på ngt magiskt sätt. 🙈
Studerar polynomet där .
Notera att talen och båda är rötter till polynomet, vilket medför att
Konstaterar att så rötterna till polynomet måste vara rötter till andragradspolynomet . Kvadratkomplettera andragradspolynomet
där
Reella rötter kräver att
Hur får vi reda på att utan att veta att ?
EDIT: skall vara , inte .
AlvinB skrev:Hur får vi reda på att utan att veta att ?
Genom att den allsmäktige frågeställaren tyckte vi behövde en extra spark ;P
Micimacko skrev:AlvinB skrev:Hur får vi reda på att utan att veta att ?
Genom att den allsmäktige frågeställaren tyckte vi behövde en extra spark ;P
Helt rätt uppfattat! ;) Lite extra information för att underlätta för den som händelsevis tyckte att den ursprungliga frågeställningen var lite för avancerad...