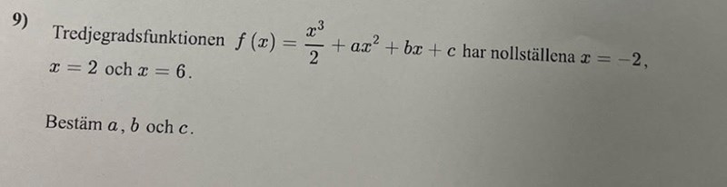
Tredjegradsfunktion och nollställen!
Hej alla! Nu har jag suttit med den här frågan väldigt länge utan att förstå hur jag ska göra. Jag har fått en känsla om att man skulle kunna använda pq- formeln då vi vet nollställerna men vet inte hur jag sedan ska fortsätta.
Finns det någon som skulle kunna hjälpa mig?

Jag behöver verkligen hjälp med den!
Tack på förhand!
Hej.
Nej, pq-formeln fungerar endast på andragradsekvationer.
Tänk dig att du tittar på grafen till y = f(x).
Varje punkt på den grafen uppfyller sambandet y = x3/2+ax2+bx+c.
Du känner till koordinaterna för 3 punkter på denna graf, vilket gör att du kan sätta upp 3 olika ekvationer där de obekanta storheterna är a, b och c.
Alltså ett ekvationssystem med 3 (linjära) ekvationer och 3 obekanta.
Kommer du vidare då?
Alternativt: En tredjegradsfunktion kan skrivas som f(x) = k(x-x1)(x-x2)(x-x3). Du vet de tre nollställena, och du vet att koefficienten för x3-termen (och därmed även värdet på konstanten k) är ½. Kommer du vidare?