Tredjegradssekvation och prioriteringsregler
Uppgift nummer 3271 i matteboken Origo 1B.
Uppgiften lyder: "I ett rätblock har sidorna 1:2:5. Rätblockets volym är 13 310 cm3.Hur långa är de tre sidorna? Volymen för ett rätblock beräknas genom att multiplicera sidorna med varandra."
Såhär långt är jag med, och förstår hur jag kan skriva en ekvation utifrån informationen jag fått.
Jag räknar därför:
Enligt prioriteringsreglerna ska potenser räknas först, dvs före multiplikationer/division. Så det gör jag:
Tittar jag i facit så är min metod fel. I facit räknar de division före potenserna.
Alltså:
Jag skulle väldigt gärna vilja förstå om prioriteringsreglerna är annorlunda vid lösning av ekvationer, eller om jag har missat något helt grundläggande angående prioriteringsregler/ekvationer.
Tack för hjälpen! :)
Tredjeroten ur 10 är inte lika med 10:

Nej prioriteringsreglerna är inte ändrade.
Du har helt riktigt fått
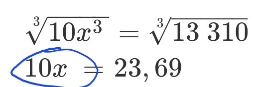
10 x3 = 13310
Men när du tar tredjeroten ur vänsterledet så glömmer du tian. 101/3 = 2,1544 så du skulle ha fått
2,1544 x = 23,69 som skulle ha givit rätt svar.
MEN OBSOBS, det är ett väldigt klumpigt sätt att lösa ekvationen.
Du har
10 x3 = 13310
Potenser går före division säger du. Helt rätt, men hur ska det tolkas?
Exponenten 3 hör bara till x. Vi kan alltså skriva övertydligt
10* (x3) = 13310
Eller ännu tydligare
10*x*x*x = 13310
Delar du båda led med 10 får du
x*x*x = 1331
x3 = 1331
Mogens skrev:Nej prioriteringsreglerna är inte ändrade.
Du har helt riktigt fått
10 x3 = 13310
Men när du tar tredjeroten ur vänsterledet så glömmer du tian. 101/3 = 2,1544 så du skulle ha fått
2,1544 x = 23,69 som skulle ha givit rätt svar.
MEN OBSOBS, det är ett väldigt klumpigt sätt att lösa ekvationen.
Du har
10 x3 = 13310
Potenser går före division säger du. Helt rätt, men hur ska det tolkas?
Exponenten 3 hör bara till x. Vi kan alltså skriva övertydligt
10* (x3) = 13310
Eller ännu tydligare
10*x*x*x = 13310
Delar du båda led med 10 får du
x*x*x = 1331
x3 = 1331
Det förklarar saken!!!
Stort tack för en mycket utförlig och tydlig förklaring! :)