1
svar
110
visningar
Na5a behöver inte mer hjälp
Trefas - varför faktor 1/2 i lösningen?
Tillägg: kunde man inte bara direkt ha tagit ?
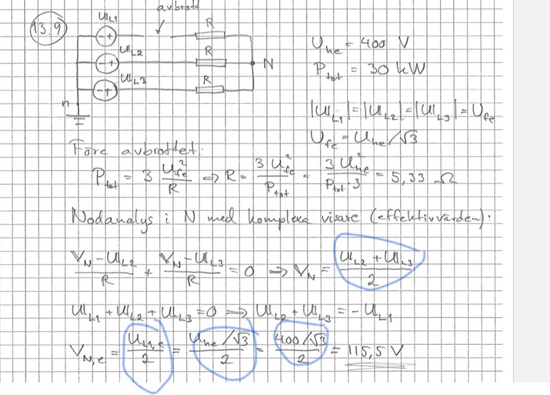
Jag vill lösa denna uppgift:
En resistiv Y-kopplad last drar 30kW ansluten till 400V huvudspänning. Vid ett tillfälle löser en säkring ut i en fas. Bestäm effektivvärdet av potentialen i lastens nollpunkt.
Jag kollar på facit och ser att de har med en faktor 1/2 i markerade områden, varför?

Jag förstår nu varför, tack ändå!