7
svar
138
visningar
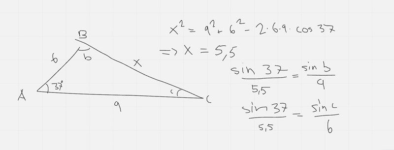
Triangel med ABC, klurig
Har löst a) men inte b). Kan någon hjälpa mig att lösa denna uppgift?
Visa hur långt du kommit
Har endast ritat triangeln

Kan du lösa resten själv?
Nej det är svårt
Vad är det som är svårt? Har du aldrig gjort beräkningar med trigonometri? Isf råder jag dig att gå tillbaka i boken och se till så att den delen sitter först.
Jo men jag förstår inte det. Blir det inte b= sin c gånger 5,5/ sin 37?
Förstår inte vad du gjort. För att räkna ut b gör man såhär: