Triangeln ABC
Så här långt har jag kommit med min uträkning? Hur ska jag komma vidare

Du har kallat arean för y vilket är ok bara du skriver att det är det y är.
Uppgiften finns med på NpMaD ht 2010 och var avsedd att genomföras med miniräknare ... gäller det dig också? Vilken typ av miniräknare får användas (det hade ju varit bra med en som kunde derivera)
1. Skriv ett uttryck för y(x). Det har du gjort men sista raden saknar en division med 2.
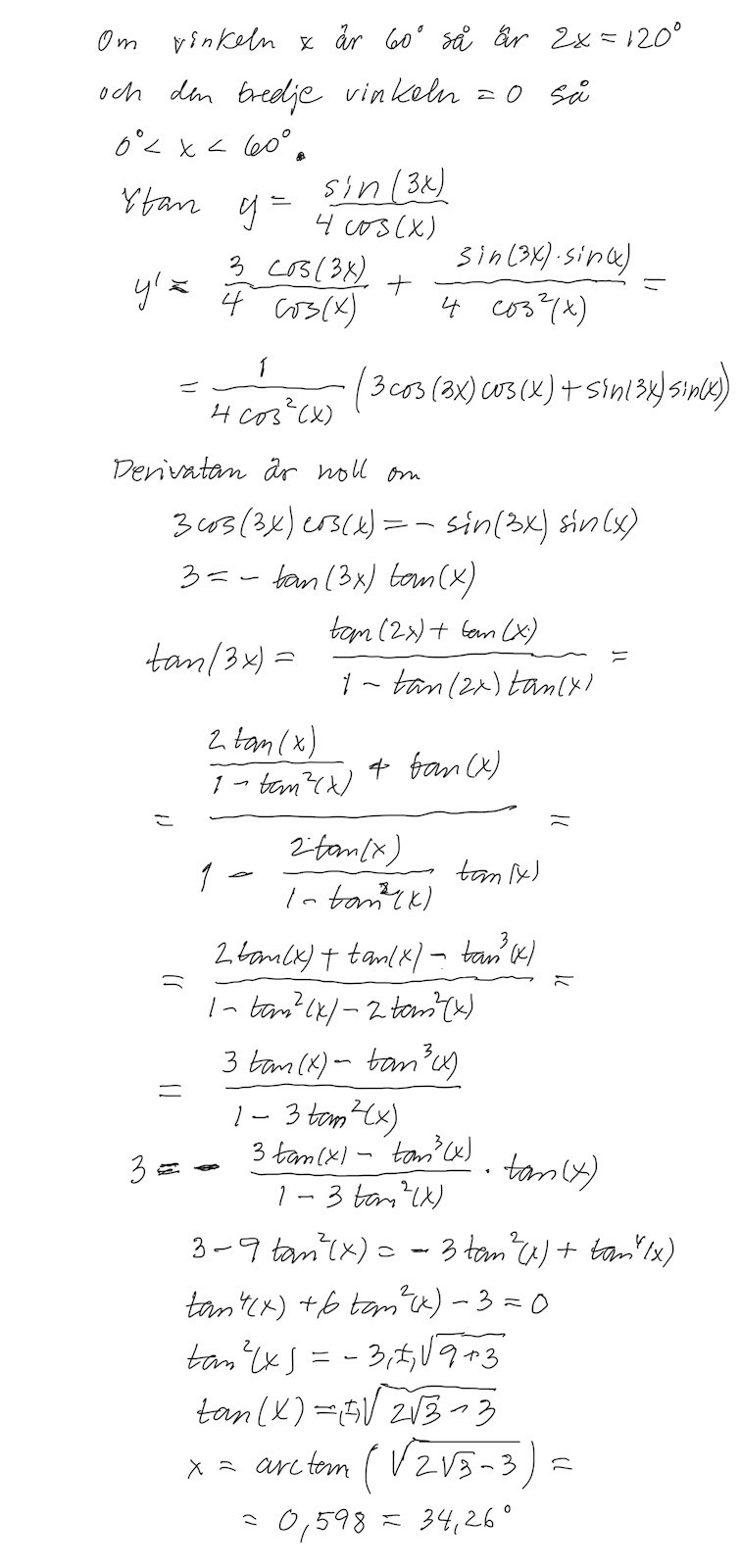
2. Derivera y(x)
3. Sätt y'(x)=0 och lös för x
Om du får använda miniräknare gör du steg 2 och 3 på miniräknaren.
Edit: Det var kanske inte så man fick använda miniräknare. Så då får du jobba lite mer.
Du har fått:
men sin(2x)=2*sin(x)*cos(x) se dubbla vinkeln för sin
och sin(180-3x) kan förenklas sin(3x)
så du kan förenkla allt till:
y går mot oändligheten när cos(x) går mot 0. Det skulle ge oss x=90
men det går ju inte för att då skulle ju 2x=180 och vi har ju att x+2x<180 (p.g.a triangeln)
alltså måste x<90
I deras lösningsförslag har de sedan ritat upp kurvan för y och ser när y får max om 0<x<90
(det blir ca 34,3 grader)
De har väldigt bra ögonmått :-)

Snygg lösning men additionsformeln för tangens finns inte med i gymnasiet över huvud taget. :)
Jag tror att tanken med denna är att eleven skall komma fram till formeln för arean. Skriva in den i en grafritande räknare och låta räknaren söka maximum.
joculator skrev:Du har kallat arean för y vilket är ok bara du skriver att det är det y är.
Uppgiften finns med på NpMaD ht 2010 och var avsedd att genomföras med miniräknare ... gäller det dig också? Vilken typ av miniräknare får användas (det hade ju varit bra med en som kunde derivera)
1. Skriv ett uttryck för y(x). Det har du gjort men sista raden saknar en division med 2.
2. Derivera y(x)
3. Sätt y'(x)=0 och lös för xOm du får använda miniräknare gör du steg 2 och 3 på miniräknaren.
Edit: Det var kanske inte så man fick använda miniräknare. Så då får du jobba lite mer.
Du har fått:
men sin(2x)=2*sin(x)*cos(x) se dubbla vinkeln för sin
och sin(180-3x) kan förenklas sin(3x)
så du kan förenkla allt till:y går mot oändligheten när cos(x) går mot 0. Det skulle ge oss x=90
men det går ju inte för att då skulle ju 2x=180 och vi har ju att x+2x<180 (p.g.a triangeln)
alltså måste x<90
I deras lösningsförslag har de sedan ritat upp kurvan för y och ser när y får max om 0<x<90(det blir ca 34,3 grader)
Hur kan sin(180-3x) förenklas till sin(3x)?
joculator skrev:Du har kallat arean för y vilket är ok bara du skriver att det är det y är.
Uppgiften finns med på NpMaD ht 2010 och var avsedd att genomföras med miniräknare ... gäller det dig också? Vilken typ av miniräknare får användas (det hade ju varit bra med en som kunde derivera)
1. Skriv ett uttryck för y(x). Det har du gjort men sista raden saknar en division med 2.
2. Derivera y(x)
3. Sätt y'(x)=0 och lös för xOm du får använda miniräknare gör du steg 2 och 3 på miniräknaren.
Edit: Det var kanske inte så man fick använda miniräknare. Så då får du jobba lite mer.
Du har fått:
men sin(2x)=2*sin(x)*cos(x) se dubbla vinkeln för sin
och sin(180-3x) kan förenklas sin(3x)
så du kan förenkla allt till:y går mot oändligheten när cos(x) går mot 0. Det skulle ge oss x=90
men det går ju inte för att då skulle ju 2x=180 och vi har ju att x+2x<180 (p.g.a triangeln)
alltså måste x<90
I deras lösningsförslag har de sedan ritat upp kurvan för y och ser när y får max om 0<x<90(det blir ca 34,3 grader)
Jag förstår inte hur du får svaret / vinkeln till att bli 34,3 grader?
Detta är en typ av uppgift som läggs in i NP för att du skall behöva använda din räknare. Du har. trots att du läser Ma4, inte tillräckligt med matte för att du skall kunna lösa den algebraiskt. Till exempel har du aldrig sett formeln för tangens (u+v), du kanske skulle kunna använda formlerna för sin(u+v) och cos(u+v) eftersom tan x = sin x / cos x men det blir ganska elaka uttryck och lösa dem då de skall vara =0 är inget man gör i en handvändning.
Alltså är tanken att du tar fram uttrycket för arean, A = sin (3x)/(4 cos x). Sedan skriver du in denna i din grafritande räknare och låter räknaren leta efter ett maximum i området 0<x<60. Då kommer räknaren att ge dig svaret 34,3 grader.
För att svara på din fråga ovan. Sin (180-3x) = sin (3x). Tänk enhetscirkel då vet du att sin (x) = sin (180-x) Det använde du när du löste trigonometriska ekvationer, eller hur?
Jaha
sin(x)=sin(180-x) och sin(3x)=sin(180-3x)
Men hur ska jag gradera x och y axeln för att rita upp grafen?
du vet att 0<x<60 (du förstår varför, eller hur?) så det kan vara lämpligt att låta x gå mellan 0 och 60. y-axeln får du chansa lite men eftersom den sidan du har = 1 så lär inte arean bli speciellt stor (spoiler 0,29 a.e) så prova dig fram till du tycker du ser ordentligt.
Hur ska jag tolka det här svaret? Jag skrev in funktionen sin(3x)/4cos(x) därefter redigerade jag window så att x blev mellan 0 och 90
Jag tror du har två fel på denna. Dels har du glömt att sätta (4*cos (x)) i nämnaren. Sedan undrar jag vad du satte för övre gräns när den skulle beräkna maximum? Detta för att sin (3*30)/4 * cos (30) = 0,21 men det är inte maximum för denna funktion heller. Skala gärna upp y axeln också Du kan sätta ymax till 0,5 ungefär

Jag får samma svar

Sätt om ymin till 0 så du ser ordentligt. Sedan tror jag fortfarande att du sätter övre gränsen (right bound) på intervallet där den skall leta maximum till 30. Då är det nämligen rätt, men sätter du denna till 40 bör du få rätt värde.
Så här har jag graderat min räknare. Det blir fortfarande fel
Jo men jag tror att det är när du tar fram maximipunkten så får du först sätta undre gräns (left bound) och sedan övre gräns (right bound) vad sätter du där?
Jag gjorde som du skrev. Fick det här svaret istället
Vilka värden sätter du på left bound och right bound? Skala om y till ymax = 0,5 så ser du att din punkt inte är på toppen av kurvan
left right sätter jag x=0
Right bound= sätter jag där grafen har sitt maxvärde
och det är det värdet du får. Sätt den till höger om toppen dvs på 40 ungefär.
