7
svar
308
visningar
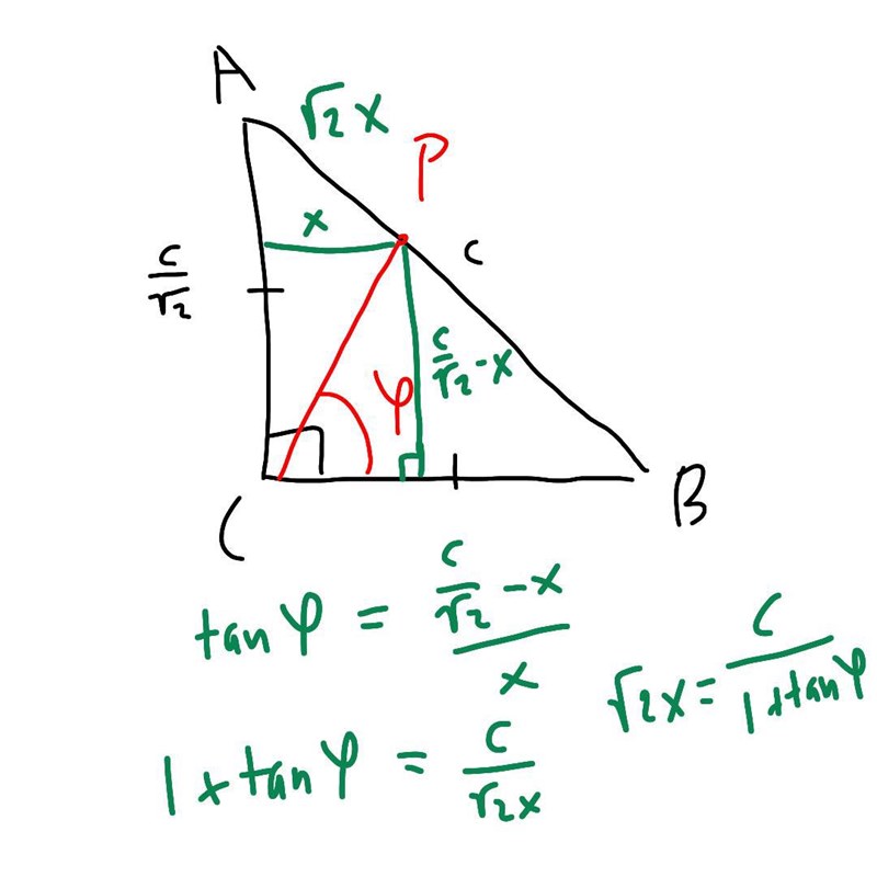
Triangeln ABC är likbent med rät vinkel vid hörnet C


Kommer ingen vart, tips?
Din ABC ser inte likbent ut.
Kanske hjälper att dra en parallelltransversal från P och se om likformighet hjälper?
Dr. G skrev:Din ABC ser inte likbent ut.
Kanske hjälper att dra en parallelltransversal från P och se om likformighet hjälper?
ahh missade att den var likbent
Dr. G skrev:Din ABC ser inte likbent ut.
Kanske hjälper att dra en parallelltransversal från P och se om likformighet hjälper?
jovars, men det ger mig inte så mycket, eller jag ser iallafall inte vad det ska ge mig
Jag ska försöka lösa den och skicka min lösning, uppgiften ser svår ut haha.
Du vet kateternas längder.
Försök att hitta något uttryck för och ta det därifrån.
Hade i princip samma lösning.

