triangelns area
fråga 10? har jag rätt så har långt, hur borde man komma till rätt svar i så fall?
.jpg?width=800&upscale=false)
Jag skulle börja med att rita upp följande figur:

Finns det några trigonometriska samband som vi kan använda oss av för att bestämma x?
PS. din ekvation för att bestämma arean ser lite fel ut. Den borde vara: (25 + x) * h / 2
nej, det finns inte. men jag använde pythagoras för att hitta höjden och tror jag har rätt det, problemet är ju sidan x
matteFantomen skrev:Jag skulle börja med att rita upp följande figur:
Finns det några trigonometriska samband som vi kan använda oss av för att bestämma x?
PS. din ekvation för att bestämma arean ser lite fel ut. Den borde vara: (25 + x) * h / 2
Rob12 skrev:nej, det finns inte. men jag använde pythagoras för att hitta höjden och tror jag har rätt det, problemet är ju sidan x
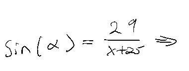
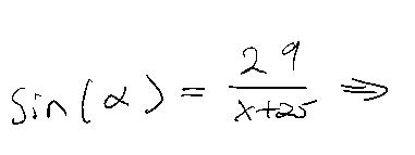
Kan detta ge en ledning?

Nu är dock frågan hur bestämmer vi alpha?
matteFantomen skrev:Rob12 skrev:nej, det finns inte. men jag använde pythagoras för att hitta höjden och tror jag har rätt det, problemet är ju sidan x
Kan detta ge en ledning?
Nu är dock frågan hur bestämmer vi alpha?
tror inte det. läser matte 2c nu och den har att göra med triangelns likformig antar jag men jag vet inte hur
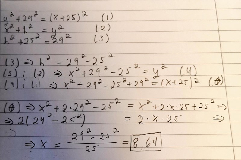
Ursäkta, antog miniräknare, du kan borste från mina tidigare kommentarer. Kan du se varför vi kan rita följande ekvationssystem?

matteFantomen skrev:Ursäkta, antog miniräknare, du kan borste från mina tidigare kommentarer. Kan du se varför vi kan rita följande ekvationssystem?
har jag rätt så har långt då, blev lite osäker på vänster leden.jpg?width=800&upscale=false)
Uppgiften är enklare att lösa om du istället använder likformiga trianglar
CDB är likformig med ABC (en vinkel = 90 och en gemensam vinkel)
så (25+x)/29 = 29/25, (hypotenusan delat med långa kateten i bägge trianglarna)
Då får du fram x, och därmed också basen i ABC, höjden har du redan beräknat.
Rob12 skrev:matteFantomen skrev:Ursäkta, antog miniräknare, du kan borste från mina tidigare kommentarer. Kan du se varför vi kan rita följande ekvationssystem?
har jag rätt så har långt då, blev lite osäker på vänster leden
Om du lösa det på mitt lite mer komplicerade sätt så kan du göra följande:

Ture skrev:Uppgiften är enklare att lösa om du istället använder likformiga trianglar
CDB är likformig med ABC (en vinkel = 90 och en gemensam vinkel)
så (25+x)/29 = 29/25, (hypotenusan delat med långa kateten i bägge trianglarna)
Då får du fram x, och därmed också basen i ABC, höjden har du redan beräknat.
fick fram x=216 vilket är lite orimligt
(25+x)/29 = 29/25
Mult bägge led med 29
25+x = 29*29/25
Nmult bägge led med 25
625 +25x = 841
25x = 841-625
x = 219/25 = 8,64
Ture skrev:(25+x)/29 = 29/25
Mult bägge led med 29
25+x = 29*29/25
Nmult bägge led med 25
625 +25x = 841
25x = 841-625
x = 219/25 = 8,64
jag ser nu att ni båda har rätt gällande x, men höjden då? stämmer det att man får det genom pythagoras?
Ja det stämmer riktigt, det är så jag har fört mitt resonemang kring ekv. system ovan. Jag föredrar Tures lösning mer än min då den är kanske mer i linje med matte 2c.
matteFantomen skrev:Ja det stämmer riktigt, det är så jag har fört mitt resonemang kring ekv. system ovan. Jag föredrar Tures lösning mer än min då den är kanske mer i linje med matte 2c.
om jag ska vara ärlig så var det lite svårt att förstå dina lösningar för du använde avancerade formel eller som har inte läst än men tusen tack för ni båda hjälpte mig
Rob12 skrev:matteFantomen skrev:Ja det stämmer riktigt, det är så jag har fört mitt resonemang kring ekv. system ovan. Jag föredrar Tures lösning mer än min då den är kanske mer i linje med matte 2c.
om jag ska vara ärlig så var det lite svårt att förstå dina lösningar för du använde avancerade formel eller som har inte läst än men tusen tack för ni båda hjälpte mig
Jag har bara använt pythagoras sats och ställt upp ett ekv. sys för 3 obekanta. Pythagoras sats känner du till sen grundskolan och att lösa 3 ekv. sys för 3 obekanta är inte mycket svårare än att lösa ut för 2.

