5 svar
60 visningar
Plugga12 930
Postad: 28 sep 2023 09:38

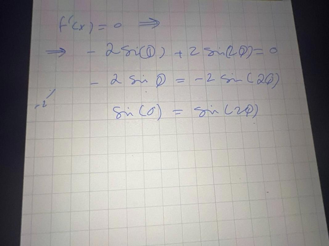
Trig ekvation

 

Hur kommer man vidare? Jag vet att man kan byta sin(2x) mot 2 sinx*cosx och sedan bryta ut sin x 

men min fråga är kan man komma vidare utan att göra så?

Ture 11063 – Livehjälpare
Postad: 28 sep 2023 10:06

Ta arcsin av bäda led

Plugga12 930
Postad: 28 sep 2023 10:36
Ture skrev:

Ta arcsin av bäda led

vad händer sen? 

Ture 11063 – Livehjälpare
Postad: 28 sep 2023 10:59

Vet du vad

arcsin(sin(x)) är? 

Plugga12 930
Postad: 28 sep 2023 11:01
Ture skrev:

Vet du vad

arcsin(sin(x)) är? 

gissar på 2x eftersom sin x=sin 2x ? 

Ture 11063 – Livehjälpare
Postad: 28 sep 2023 11:07 Redigerad: 28 sep 2023 11:08

Nej, arcsin är inversfunktionen till sin.

Ungefär som ln(ex) = x är

Arcsin(sin(x)) = x

Dock med den skillnaden att vi måste ta hänsyn till periodicitet och att sin(x) = sin(pi-x) 

Tar vi då arcsin av bägge led i din ekvation får vi,

x = 2x + 2npi och en lösningsmängd till. 

Utveckla vidare härifrån

Svara
Close