3
svar
116
visningar
Trignometri

Jag vet att cos^2(x) + sin^2(x)=1 men hur ska jag fortsätta?
Jag skulle satsa på att skriva om VL med hjälp av formler för dubbla vinkeln och se om det ger något. (jag har inte provat)

Ture skrev:Jag skulle satsa på att skriva om VL med hjälp av formler för dubbla vinkeln och se om det ger något. (jag har inte provat)
Men sin(2x) = 2sin x cos x? Jag förstår inte dessa formler
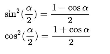
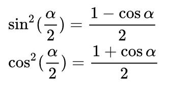
om du skriver om den övre som
sin2(x) = 0,5(1-cos(2x)) och gör på motsvarande sätt för den andra formeln,
Sätt sen in i din ekvation och se vad som händer.
Visa dina försök
