2
svar
125
visningar
ABC-formeln behöver inte mer hjälp
Trigonometri

Hej, har inte direkt problem med uppgiften, det finns lösningsförslag, men behöver hjälp med hur de kommer fram till detta:

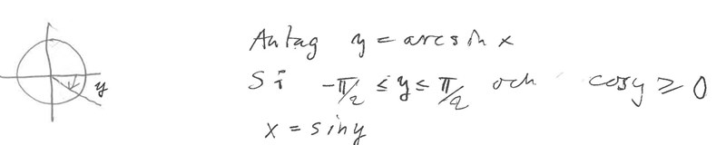
Varför måste y ligga mellan -π/2 och π/2?
Bara eftersom arcsin alltid ligger i första eller fjärde kvadranten av en enhetscirkel?
Per definition (se t ex Adams):
och .