5 svar
144 visningar
ct1234 behöver inte mer hjälp
ct1234 236 – Fd. Medlem
Postad: 15 mar 2021 13:36 Redigerad: 15 mar 2021 14:28

Trigonometri

Hej,

 

Fråga 7

 

 

 

----------------------------------------------------------------------------------------------------------------------------

 

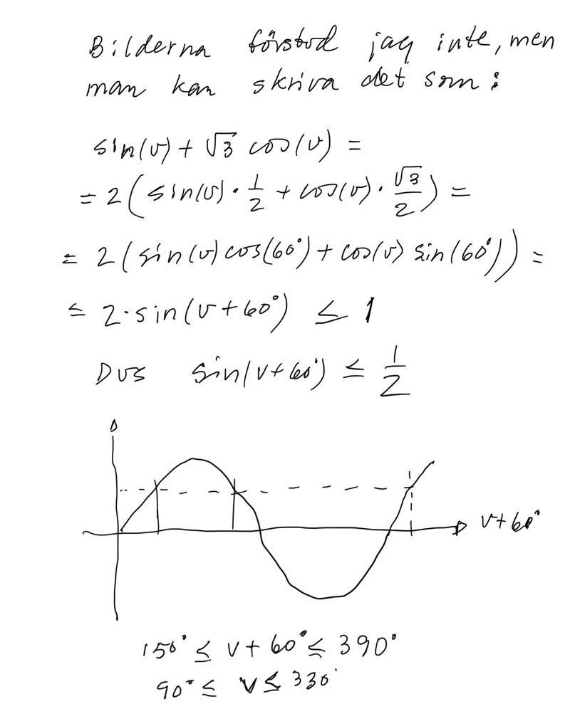
 Förstår hur man kommer fram till att sin(v+60) 12

Kan man sedan göra såhär:

Men hur kommer man sedan fram till svaret?

 

Mvh

Jan Ragnar 2218
Postad: 15 mar 2021 14:46

ct1234 236 – Fd. Medlem
Postad: 15 mar 2021 15:23 Redigerad: 15 mar 2021 15:24

Är detta rätt?

 

Undrar hur man får med tecknet "<" i uträkningen

ct1234 236 – Fd. Medlem
Postad: 15 mar 2021 15:25
Jan Ragnar skrev:

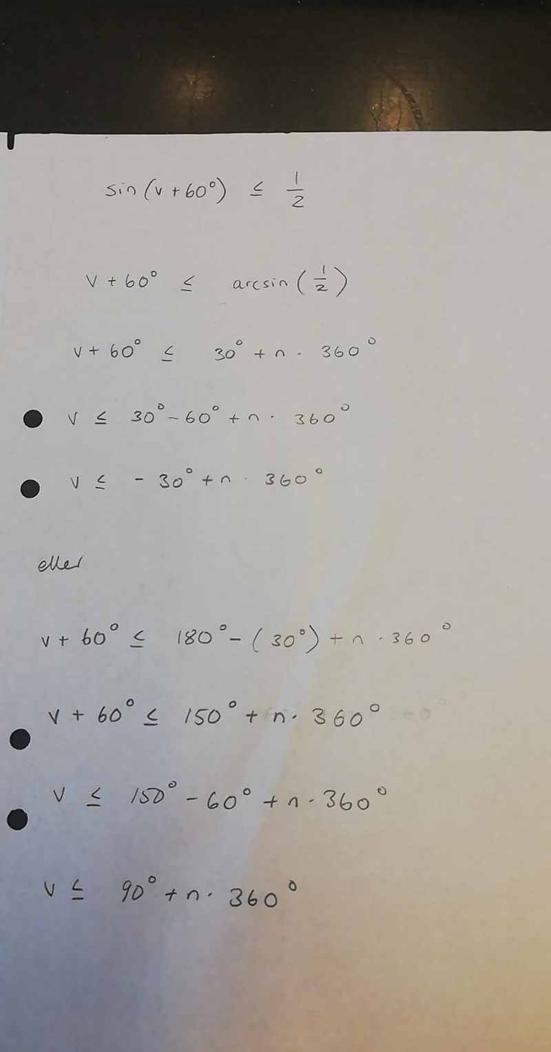
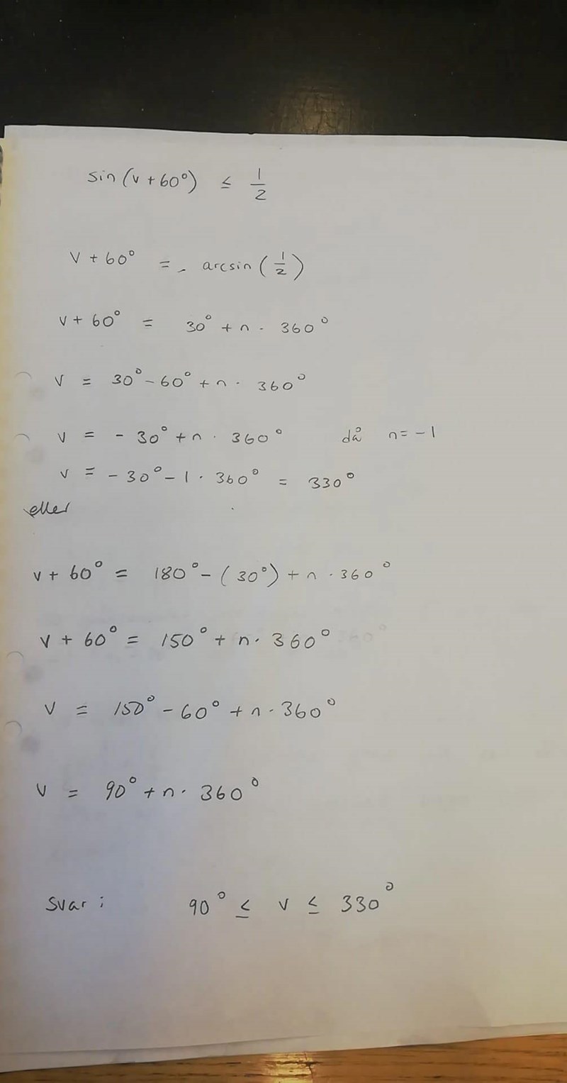
Hur fick du fram

150v+60390

?

Jan Ragnar 2218
Postad: 15 mar 2021 22:28

ct1234 236 – Fd. Medlem
Postad: 16 mar 2021 11:16 Redigerad: 16 mar 2021 11:17

Okej, tack för hjälpen

Svara
Close