1
svar
71
visningar
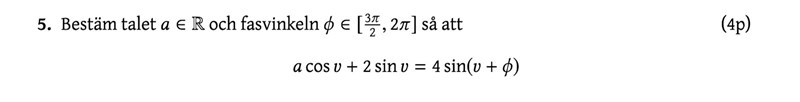
Trigonometri

Hur har du börjat? Du kan skriva vänsterledet som ett sinusuttryck, alternativt utveckla högerledet med hjälp av additionsformeln. :)