1
svar
96
visningar
trigonometri
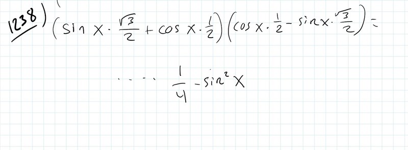
Hej, uttrycket ska tydligen gå att förenkla till 1/4 -sin^2x som jag visat på bilden. Har ingen aning om hur man går till väga för att förenkla det så. Kan någon försöka förklara?

Hej,
Hjälper det om du känner igen någon regel från tidigare om man skriver det som: