Trigonometri
Hur har man räknat i exemplet?
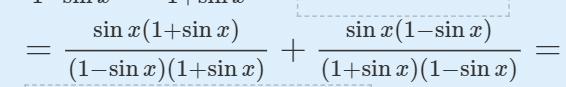
Vad har man gjort för att komma fram till där detta? En del av talen verkar bara magiskt ha adderats/subtraherats in i de båda bråken.

Man ser att nämnarna är delar av ett konjugat ochatt multiplikationen av dessa nämnare ger ett förenklat uttryck med hjälp av konjugatregeln, som säger att
Efter att ha fått gemensam nämnare kan uttrycket i täljaren förenklas, vilket leder fram till beviset
Har du fler frågor ?
Henning skrev:Man ser att nämnarna är delar av ett konjugat ochatt multiplikationen av dessa nämnare ger ett förenklat uttryck med hjälp av konjugatregeln, som säger att
Efter att ha fått gemensam nämnare kan uttrycket i täljaren förenklas, vilket leder fram till beviset
Har du fler frågor ?
Vid sista steget, hur använder de trigonometriska ettan när de bara har sin att arbeta med? Vad hände också med nämnaren?

pluggare77 skrev:Henning skrev:Man ser att nämnarna är delar av ett konjugat ochatt multiplikationen av dessa nämnare ger ett förenklat uttryck med hjälp av konjugatregeln, som säger att
Efter att ha fått gemensam nämnare kan uttrycket i täljaren förenklas, vilket leder fram till beviset
Har du fler frågor ?
Vid sista steget, hur använder de trigonometriska ettan när de bara har "sin" att arbeta med? Vad hände också med nämnaren?
Trig. ettan säger:
Detta används i nämnaren
I täljaren får vi 2 sinx-termer att adderas medan 'sin-kvadrat termerna' tar ut varandra
