1
svar
130
visningar
Trigonometri
Hej!
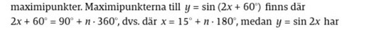
![]()
Detta står i min lärobok. Jag förstår inte riktigt hur de skriver om 90+n*360 till 15+n*180.
De löser ekvationen 2x+60 = 90+360n.