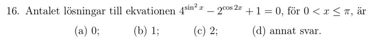
Trigonometri - antalet lösningar

Rätt svar är (b)
Jag vet inte riktigt hur man löser denna.
Försökte så här men det blir fel:
som ger 2 lösningar i angivet intervall.
ATsmartis skrev :
Rätt svar är (b)
Jag vet inte riktigt hur man löser denna.
Försökte så här men det blir fel:
som ger 2 lösningar i angivet intervall.
Du har logaritmerat varje term för dig, men då upphör likheten att gälla eftersom i allmänhet.
Försök istället att skriva om potensuttrycken med hjälp av trigonometriska formler och potenslagar så att du sedan kan variabelsubstituera fram en enkel andragradsekvation.
Yngve skrev :ATsmartis skrev :
Rätt svar är (b)
Jag vet inte riktigt hur man löser denna.
Försökte så här men det blir fel:
som ger 2 lösningar i angivet intervall.
Du har logaritmerat varje term för dig, men då upphör likheten att gälla eftersom i allmänhet.
Försök istället att skriva om potensuttrycken med hjälp av trigonometriska formler och potenslagar så att du sedan kan variabelsubstituera fram en enkel andragradsekvation.
menar du såhär
och sedan kanske byta ut sin(x)=t.
Men det känns inte som jag förstår riktigt ännu.
Det blir nog lättast om du kollar på hur grafen ser ut för de två. T.ex. 2^cos2x kan inte vara större än 2 osv. När kan
ATsmartis skrev :.
menar du såhär
och sedan kanske byta ut sin(x)=t.
Men det känns inte som jag förstår riktigt ännu.
Jag menar så här:
Formel för dubbla vinkeln:
Potenslag
Substituera . Eftersom så gäller att
Potenslag
Multiplicera med
Potenslag
PQ-formeln
Eftersom så måste .
Därför är endast en giltig rot, vilket innebär att och alltså att .
Av dessa lösningar är det endast som uppfyller villkoret.
Yngve skrev :ATsmartis skrev :.menar du såhär
och sedan kanske byta ut sin(x)=t.
Men det känns inte som jag förstår riktigt ännu.Jag menar så här:
Formel för dubbla vinkeln:
Potenslag
Substituera . Eftersom $$0\leq sin^2(x)\leq 1$$ så gäller att
Potenslag
Multiplicera med
Potenslag
PQ-formeln
Eftersom så måste .
Därför är endast en giltig rot, vilket innebär att och alltså att .
Av dessa lösningar är det endast som uppfyller villkoret.
Tusen tack!