11 svar
206 visningar
daka behöver inte mer hjälp
daka 35
Postad: 17 sep 2023 14:39

Trigonometri, grunken


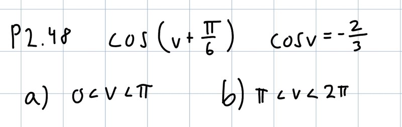
Ska räkna ut cos(v+pi/6) då cosv=-2/3 i 2 olika intervaller, tror att formeln cos(a+b)=cosa*cosb-sina*sinb ska användas men inte säker på hur jag ska räkna ut det i praktiken.

D4NIEL 3539
Postad: 17 sep 2023 14:50 Redigerad: 17 sep 2023 14:52

Hej daka, och välkommen till Pluggakuten.

Börja med att rita in vinkeln vv i enhetscirkeln. I a) ska den tydligen vara någonstans mellan 00 och π\pi. Dessutom ska

cos(v)=-2/3\cos(v)=-2/3

Kan du räkna ut vilket värde  sin(v)\sin(v) måste ha då? Använd till exempel trigonometriska ettan!

cos2(v)+sin2(v)=1\cos^2(v)+\sin^2(v)=1

Och se till att välja rätt lösning utifrån din bild av enhetscirkeln.

Visa dina försök.

daka 35
Postad: 17 sep 2023 14:59
D4NIEL skrev:

Hej daka, och välkommen till Pluggakuten.

Börja med att rita in vinkeln vv i enhetscirkeln. I a) ska den tydligen vara någonstans mellan 00 och π\pi. Dessutom ska

cos(v)=-2/3\cos(v)=-2/3

Kan du räkna ut vilket värde  sin(v)\sin(v) måste ha då? Använd till exempel trigonometriska ettan!

cos2(v)+sin2(v)=1\cos^2(v)+\sin^2(v)=1

Och se till att välja rätt lösning utifrån din bild av enhetscirkeln.

Visa dina försök.

Försökte de innan men får konstiga tal som inte liknar facit alls, här är mitt försök:


Tillägg: 17 sep 2023 15:00

insåg nu att mitt första steg är helt fel, gör om

D4NIEL 3539
Postad: 17 sep 2023 15:06 Redigerad: 17 sep 2023 15:06

Ok, en hållpunkt är att sin(v)=1-cos2(v)=53\sin(v)=\sqrt{1-\cos^2(v)}=\frac{\sqrt{5}}{3} för uppgift a).

daka 35
Postad: 17 sep 2023 15:08
D4NIEL skrev:

Ok, en hållpunkt är att sin(v)=1-cos2(v)=53\sin(v)=\sqrt{1-\cos^2(v)}=\frac{\sqrt{5}}{3} för uppgift a).

det är där något blir konstigt för mig, får 1/2

D4NIEL 3539
Postad: 17 sep 2023 15:09 Redigerad: 17 sep 2023 15:11

cos(v)=-2/3\cos(v)=-2/3

cos2(v)=4/9\cos^2(v)=4/9

sin2(v)=1-4/9=5/9\sin^2(v)=1-4/9=5/9

sin(v)=±53\sin(v)=\pm \frac{\sqrt{5}}{3}

Är du med?

Orsaken till att vi väljer den positiva roten är att vi vet att vinkeln vv ska ligga mellan 0 och π\pi

daka 35
Postad: 17 sep 2023 15:12
D4NIEL skrev:

cos(v)=-2/3\cos(v)=-2/3

cos2(v)=4/9\cos^2(v)=4/9

sin2(v)=1-4/9=5/9\sin^2(v)=1-4/9=5/9

sin(v)=±53\sin(v)=\pm \frac{\sqrt{5}}{3}

Är du med?

Orsaken till att vi väljer den positiva roten är att vi vet att vinkeln vv ska ligga mellan 0 och π\pi

yes, insåg nu att jag råkade tänka (cosv)^2 som om de vore (3/2)^2

D4NIEL 3539
Postad: 17 sep 2023 15:16 Redigerad: 17 sep 2023 15:17

Bra! Det "svåra" i uppgiften var ju att komma på att man kunde använda additionsformeln för cosinus. Sen får man se upp med slarv!

I uppgift b) måste du välja den andra roten eftersom vinkeln nu ligger mellan π\pi och 2π2\pi.

Jag skulle fortfarande rekommendera att du gör en skiss av enhetscirkeln så du förstår skillnaden mellan a) och b) även om uppgifterna är snarlika :)

 

daka 35
Postad: 17 sep 2023 15:22
D4NIEL skrev:

Bra! Det "svåra" i uppgiften var ju att komma på att man kunde använda additionsformeln för cosinus. Sen får man se upp med slarv!

I uppgift b) måste du välja den andra roten eftersom vinkeln nu ligger mellan π\pi och 2π2\pi.

Jag skulle fortfarande rekommendera att du gör en skiss av enhetscirkeln så du förstår skillnaden mellan a) och b) även om uppgifterna är snarlika :)

 

yes, det enda jag tycker är konstigt är att vi har vi har ju -1/2 framför parentesen så borde vi inte få -5/3

D4NIEL 3539
Postad: 17 sep 2023 16:06

Jo, det stämmer, är inte helt säker på att jag förstår din fråga?

daka 35
Postad: 17 sep 2023 18:09 Redigerad: 17 sep 2023 18:27
D4NIEL skrev:

Jo, det stämmer, är inte helt säker på att jag förstår din fråga?

I facit har dem skrivit tvärtom, är därav lite förvirrad. I intervallet 0<v<pi har dem valt den negativa lösningen.

D4NIEL 3539
Postad: 17 sep 2023 20:11 Redigerad: 17 sep 2023 20:15

Då har de gjort fel, rätt svar på uppgift a) är (med cos(v)=-2/3\cos(v)=-2/3 och sin(v)=+53\sin(v)=+\frac{\sqrt 5}{3}):

cos(v+π/6)=cos(v)cos(π/6)-sin(v)sin(π/6)=-13-56-0.95\cos(v+\pi/6)=\cos(v)\cos(\pi/6)-\sin(v)\sin(\pi/6)=-\frac{1}{\sqrt{3}}-\frac{\sqrt5}{6}\approx -0.95

Svara
Close