4 svar
221 visningar
emildahlbergg behöver inte mer hjälp
emildahlbergg 40 – Fd. Medlem
Postad: 19 nov 2017 18:43

Trigonometri uppgift

Cosinus för basvinkeln i en likbent triangel är 817. Bestäm det exakta värdet av sinus i toppvinkeln. Har ritat upp en triangel, försökt hitta sätt att få ut värdet av sinα.  Men inte fått rätt svar.

 

Svaret ska vara: 240289.

Stokastisk 3597 – Fd. Medlem
Postad: 19 nov 2017 19:00

Låt α \alpha vara vinkeln vid basen. Då är toppvinkeln 180°-2α 180\textdegree - 2\alpha , så du ska beräkna

sin(180°-2α)=sin(2α)=2sin(α)cos(α) \sin(180\textdegree - 2\alpha) = \sin(2\alpha) = 2\sin(\alpha)\cos(\alpha)

Du vet att cos(α)=8/17 \cos(\alpha) = 8/17 , kan du beräkna vad sin(α) \sin(\alpha) då är lika som? (tips: trigonometriska ettan)

emildahlbergg 40 – Fd. Medlem
Postad: 19 nov 2017 20:07

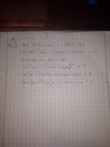
Är jag på rätt spår eller?

Stokastisk 3597 – Fd. Medlem
Postad: 19 nov 2017 20:11

Nja inte riktigt. Enligt trigonometriska ettan så gäller det att

cos2(α)+sin2(α)=1 \cos^2(\alpha) + \sin^2(\alpha) = 1

Nu vet du att cos(α)=8/17 \cos(\alpha) = 8/17 därför får du att

sin2(α)=1-8172=225289 \sin^2(\alpha) = 1 - \left(\frac{8}{17}\right)^2 = \frac{225}{289}

Eftersom 0°<α<180° 0\textdegree < \alpha < 180\textdegree så måste sin(α)>0 \sin(\alpha) > 0 och vi får därför att

sin(α)=225289=1517 \sin(\alpha) = \sqrt{\frac{225}{289}} = \frac{15}{17}

Så du vet nu vad både sin(α) \sin(\alpha) och cos(α) \cos(\alpha) är, kan du då beräkna vad sin(2α) \sin(2\alpha) är?

emildahlbergg 40 – Fd. Medlem
Postad: 19 nov 2017 20:18

Ah, nu fick jag det rätt, stort tack! Nu när jag ser på det så var det lättare än vad jag trodde! :)

Svara
Close