3
svar
122
visningar
Simonload10 behöver inte mer hjälp
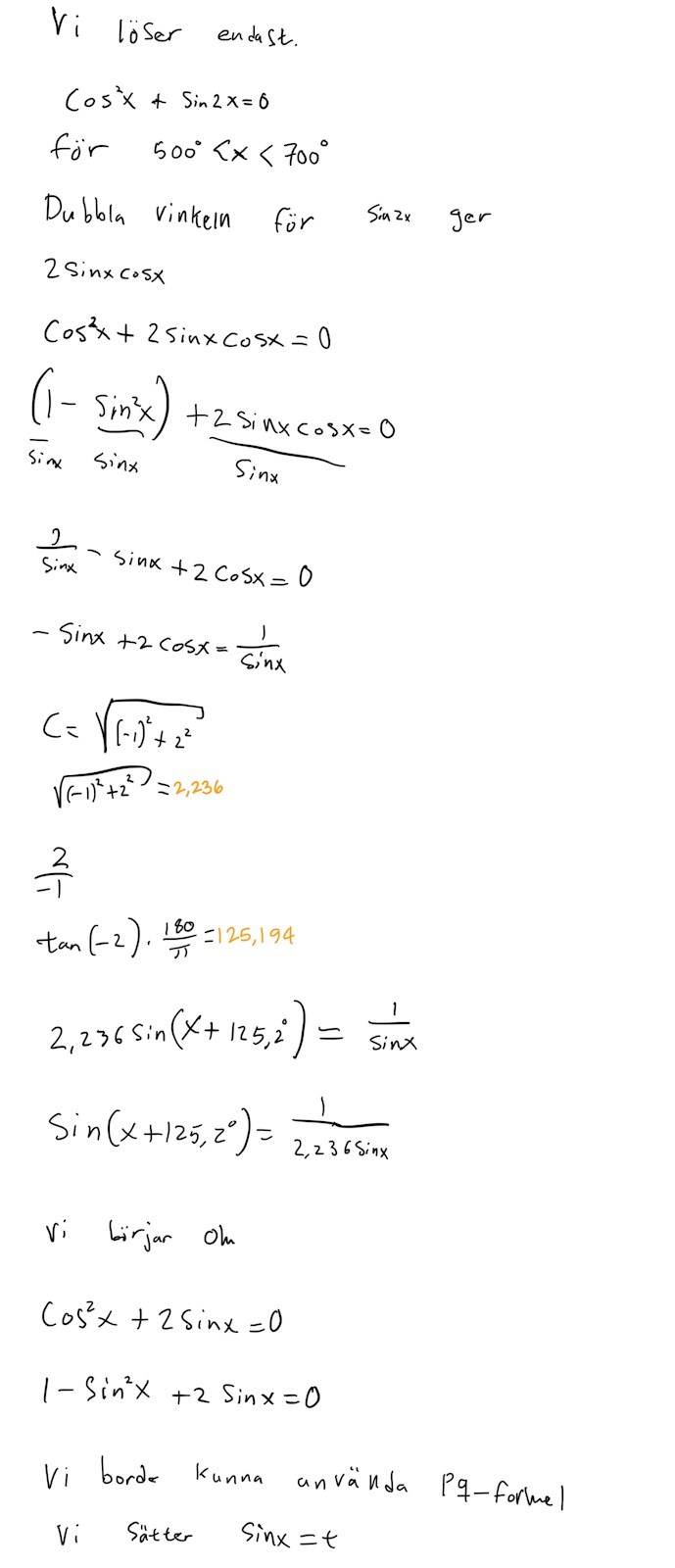
Trigonometrisk ekvation
Varför blir detta inkorrekt?

inom intervallet 500 till 700 grader ska 3 lösningar finnas. Jag får ingen enligt mitt svar.
I ditt första försök löser du ekvationen med , i den andra med . Vilken är rätt ekvation?
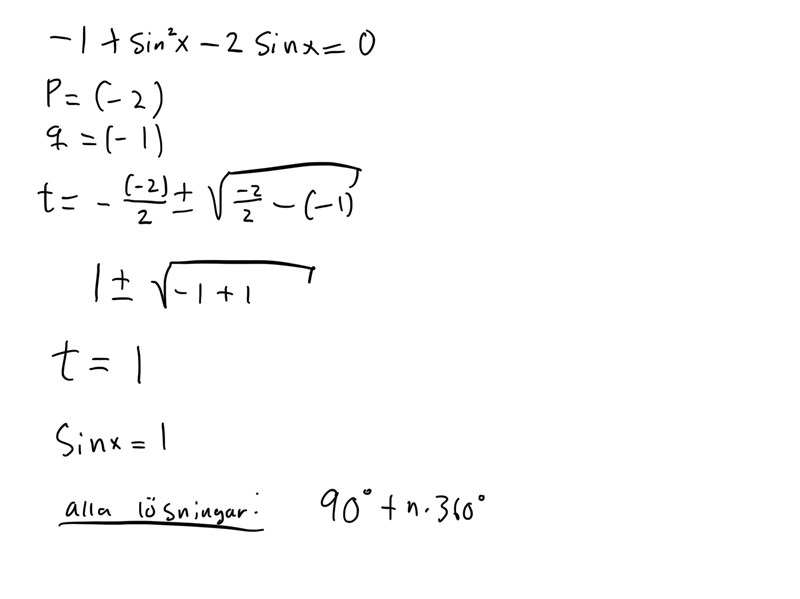
Den sista gäller för tydlighetens skull. Ekvationen är alltså (cosx)^2+2sinx=0
Du ska kvadrera (p/2) under rottecknet.