trigonometrisk ekvation
Hur kommer man på att 1 - sin2y = HL ?

Ursprungsuppgiften:

Skriv alla tre ingående delar i HL som bråk.
Bubo skrev:Skriv alla tre ingående delar i HL som bråk.
Förlåt uttryckte mig fel
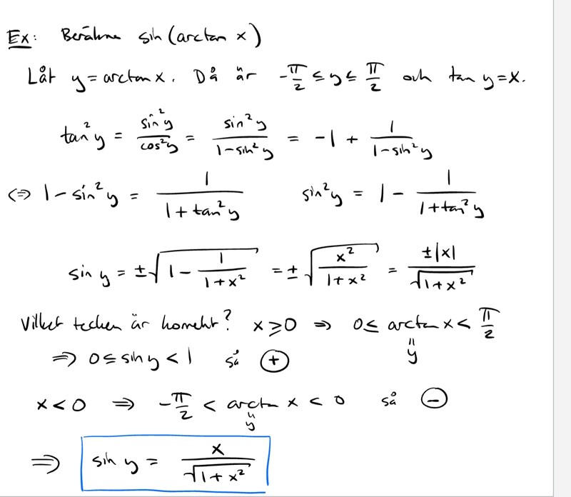
Härledning finns på raden direkt ovanför den likhet du frågar om:

Man började med definitionen av tangens som kvoten av sinus- och cosinusvärdena. Sedan tillämpades trigonometriska ettan och till slut lade man till en etta och tog bort den för att kunna utföra division:
Nu har man alltså kommit fram till likheten . Det återstår att flytta över ettan från HL till VL och sedan vända på bråken:
ger
Alternativ metod:
När man skrivit om tan2y enligt

så är det bara att lösa ut sin2 y.
multiplicera båda leden med (1-sin2y):
skriv ut produkten i VL:
samla alla termer med sin2 y på högerledet:
bryt ut sin2 y:
dividera båda leden med (tan2y+1):
Det är egentligen denna likhet som senare använts i uträkningen
LuMa07 skrev:Härledning finns på raden direkt ovanför den likhet du frågar om:
Man började med definitionen av tangens som kvoten av sinus- och cosinusvärdena. Sedan tillämpades trigonometriska ettan och till slut lade man till en etta och tog bort den för att kunna utföra division:
Nu har man alltså kommit fram till likheten . Det återstår att flytta över ettan från HL till VL och sedan vända på bråken:
ger
Alternativ metod:
När man skrivit om tan2y enligt
så är det bara att lösa ut sin2 y.
multiplicera båda leden med (1-sin2y):
skriv ut produkten i VL:
samla alla termer med sin2 y på högerledet:
bryt ut sin2 y:
dividera båda leden med (tan2y+1):
Det är egentligen denna likhet som senare använts i uträkningen
tack!

