1
svar
102
visningar
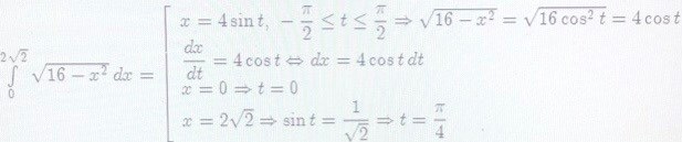
Trigonometrisk integral
Hej!
ser inte hur t blir:
t=pi/4
om x = 2*sqrt(2)
om någon hade kunnat förklara det till mig? :)

Du börjar från x=4sin(t), stoppar in ditt x-värde och löser ekvationen genom att dela båda sidor på 4 och känna igen standardvinkeln du får då.