Trigonometrisk olikhet - Algebraisk lösning
I Varberg varierar solstrålningens intensitet y mätt i W/m^2 enligt
y = 13 - 50*cos(pi*x/12) då 6 <= x <= 18
där x = 6 motsvarar klockan 06.00 och x = 18 motsvarar 18.00.
Lös olikheten 13 - 50*cos(pi*x/12) > 50 och tolka resultatet.
Mitt försök till en algebraisk lösning:
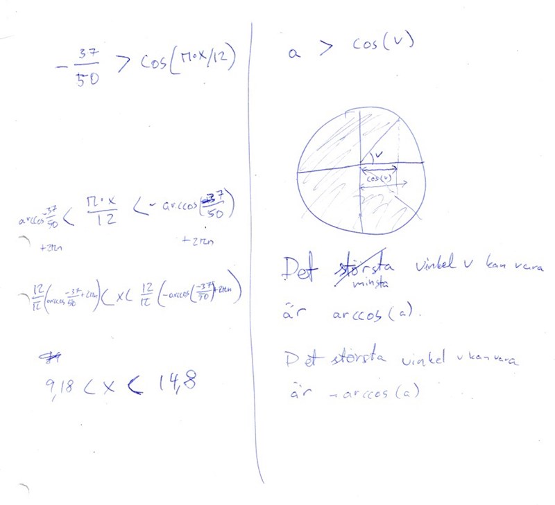
13 - 50*cos(pi*x/12) > 50
-37/50 > cos(pi*x/12)
±arccos(-37/50) + 2*pi*n > pi/12*x
±12/pi * (arccos(-37/50) + 2*pi*n) > x
Om jag nu kör plustecknet så är det enda värdet på n som funkar 0 och vi får 9,18.
Så 9,18 > x
Om jag kör minustecknet så är det enda värdet på n som funkar -1 och vi får 14,82.
Så 14,82 > x
Dessa motsvarar klockan 09.11 och 14.49.
Svaret är självklart att 09.11 < x < 14.49 men det blir ju fel på mitt olikhetstecken på 9,18. Vad gör jag för fel i ekvationslösningen?
Olikheter är lite luriga när det kommer till icke-linjära funktioner.
Jag tycker absolut att du ska illustrera olikheten med hjälp av enhetscirkeln.
Markera på enhetscirkeln det/de cirkelsegment där cosinusvärdet uppfyller olikheten.
Utifrån det är det enklare att hitta lösningen.
Visa din bild.
Räcker det isåfall kanske att lösa grafiskt med grafräknaren? Där ser man tydligt att 9,18 < x < 14,82.
Inte troligt att det räcker med grafisk lösning, men att Yngve rekommenderar dig att rita upp problemet i enhetscirkeln är för att det kan ge dig överblick och förståelse.

Verkar stämma rätt bra överens med https://math24.net/basic-trigonometric-inequalities.html