1
svar
65
visningar
Leonhart behöver inte mer hjälp
Trigonometrisk uttryck

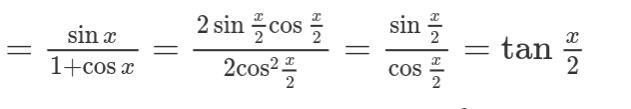
Hur blev nämnaren 1+cosx=2cos²(x/2) ?
Titta på formlerna för dubbla vinkeln.