Trigonometriska ekvationer
Sitter och klurar på lite blandade uppgifter med trigonometri. Har denna uppgift som jag inte kan lösa. Har suttit lääääääänge nu och jag har lusläst böckerna, internet.
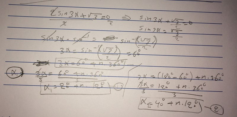
2sin 3x + =0 Hur gör jag?
plösen123 skrev :Sitter och klurar på lite blandade uppgifter med trigonometri. Har denna uppgift som jag inte kan lösa. Har suttit lääääääänge nu och jag har lusläst böckerna, internet.
2sin 3x + 3=0 Hur gör jag?
Hur långt har du kommit?
Har du ritat en figur?
Jag har inte kommit någon vart mer än möjligtvis att 2 sin 3x= sen är det helt stopp. Kört fast nå så in i bomben
plösen123 skrev :Jag har inte kommit någon vart mer än möjligtvis att 2 sin 3x=3 sen är det helt stopp. Kört fast nå så in i bomben
2*sin(3x) + rotenur(3) = 0
subtrahera med rotenur(3):
2*sin(3x) = - rotenur(3)
Dividera med 2:
sin(3x) = -rotenur(3)/2
-rotenur(3)/2 är ett känt exakt sinusvärde för en viss vinkel v. Vilken?
Tips:
https://matematikvideo.se/att-harleda-exakta-trigonometriska-varden/
Tusen tack. :)
Rita enhetscirkeln, fixa tecken, dividera med 3, m.m.
2sin3x+=0
sin3x=-
Kolla på enhetcirkel då har vi: 3x=n.360-60 eller 3x=(2n-1).360+60
Alltså x=((n.360)/3)-20 eller x=((2n-1).360/3)-20 där n är en heltal.
