Trigonometriska funktioner


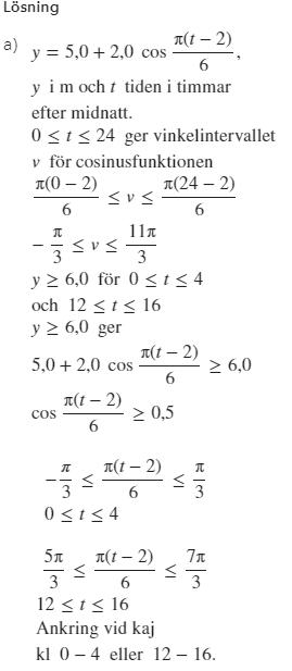
Jag förstår inte den här uppgiften. Vad menas med vinkelintervallet? Jag förstår att t måste vara mellan 0 och 24.
Det har jag markerat här att t måste vara mellan 24 och 0. Men vad har det med vinkeln att göra?
Vad är det dem gör sedan ?
JAG TROR TYVÄRR INTE MAN HAR TILLGÅNG TILL EN MINIRÄKNARE
Varje tidpunkt t ger vinkeln pi(t-2)/6 som cos fknen ska arbeta på. Med vinkelintervallet menar man här de möjliga vinklar som tidsintervallet 0<=t<=24 ger.
Tomten skrev:Varje tidpunkt t ger vinkeln pi(t-2)/6 som cos fknen ska arbeta på. Med vinkelintervallet menar man här de möjliga vinklar som tidsintervallet 0<=t<=24 ger.
vad är det dem sedan gör för att få fram t?
Så de skiljer på vinklarna som är möjliga och värderna t som är möjliga?
Ja, det måste man ju, men de möjliga tidpunkterna dikterar vilka vinklar som är möjliga.
Tomten skrev:Ja, det måste man ju, men de möjliga tidpunkterna dikterar vilka vinklar som är möjliga.
men vad har den här kurvan för periodicitet? k är pi/6. Det betyder väl att den flyttas 2pi/pi/6 = 12 steg varje period. Men min flyttar ju 24 steg varje period
Denna funktion är kontinuerlig överallt. Den har inga steg, men den är periodisk. Kurvan står still. Den flyttas inte utan vidare.
Bokstaven k som du nämner finns inte i uppgiften.
- Om du är med på att den ritade grafen är OK, så kan man avläsa perioden där för eget bruk och förståelse, men man får inte åberopa avläsningen i lösningen.
Tomten skrev:Denna funktion är kontinuerlig överallt. Den har inga steg, men den är periodisk. Kurvan står still. Den flyttas inte utan vidare.
Bokstaven k som du nämner finns inte i uppgiften.
- Om du är med på att den ritade grafen är OK, så kan man avläsa perioden där för eget bruk och förståelse, men man får inte åberopa avläsningen i lösningen.
Fast hur vet man att pi/6 inte motsvarar k-värdet. För en vanlig cosinus kurva är den ju det
Vad är det för k-värde du menar?
Tomten skrev:Vad är det för k-värde du menar?
Acosk(x+v)+D
Ja, i så fall är k=pi/6 och den angivna funktionen har perioden 12, inte 12pi för på står redan. Själva frågan är lite svävande. Det borde stått "När UNDER LOPPET AV ETT DYGN kan ett lastfartyg...." Dygnet omfattar 2 av funktionens perioder. Det kan du också se på grafen.