Trigonometriska modeller
Hej! Jag undrar varför mitt sätt inte fungerar. Har jag gjort något fel på vägen eller är hela metoden fel?


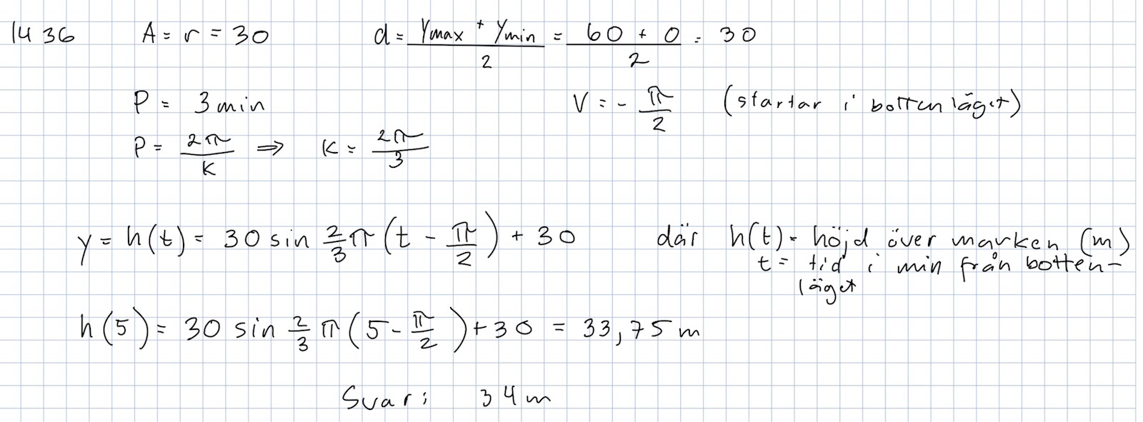
Boken tyckte bara man skulle ta reda på hur långt hjulet roterade på 1 min, sedan räkna 5 sådana delvarv. Svaret ska bli 45 m.
Tack!
Pariserhjulet snurrar varv per minut så på 5 minuter snurrar det varv.
Då om vi räknar bottenläget som 0 grader eller noll radianer så har den snurrat ett varv plus varv.
varv är lika med
eller i radianer så är det
Hur högt över marken är det?
Visa spoiler
med start från marken medsols är samma som motsols
motsols är lika med rakt ut från centrum och då är höjden 30 m
Ytterligare medför att den höjden är
Så totala höjden blir då 30 m + 15 m = 45 m
Jag förstår att det sättet fungerar, men jag är mer intresserad av att ställa upp en modell ! Räkna varv är inte så svårt och jag vill veta vad som bär fel med min lösning! Tack ändå
HannaKN skrev:... jag vill veta vad som bär fel med min lösning!
Det här stämmer inte. Berätta hur du kom fram till det uttrycket.

Du kan och bör kontrollera ditt uttryck genom att pröva med ett par t-värden där du vet vad värdet borde vara.
Ex:
- Vid start borde höjden vara 0, dvs h(0) borde vara 0. Är det det?
- Efter ett kvarts varv borde höjden vara 30, dvs h(3/4) borde vara 30. Är det det?
- Efter ett halvt varv borde höjden vara 60, dvs h(3/2) borde vara 60. Är det det?
Ditt uttryck stämmer nästan. Du måste flytta ett (. Du skriver k(t+v) det skall vara (kt+v)
Problem löst. Något så snopet som att miniräknaren stod på grader och inte radianer var orsaken. Uttrycket var rätt så när som på AndersW's kommentar!