Trigonometriska samband
Halloj, har en fråga angående trigonometriska samband om någon har tid för det.
Uppgift

Facit

Min fråga
Hoppet från L
är oklart tycker jag. Kan någon visa stegen emellan eller på annat sätt ge en hint om vad som händer där?
Det är kvotregeln eller kedjeregeln (beroende på hur man ser det) som de har använt sig av, hjälper den informationen?
Hej!
Kedjeregeln ger derivatan av den första termen.
Derivatan av den andra termen överlåter jag till dig.
Tack det ser jag nu. Men i det nästa steget vad är det för regel som används där?

Samt hur man går från 
till

Om ett bråk är lika med 0 så är täljaren nödvändigtvis lika med 0.
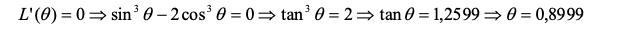
Juste! Men nästa steg då vad händer där:

Dela båda sidor med , addera 2 på båda sidor.
Så enkelt.... Tack Smargdalena!