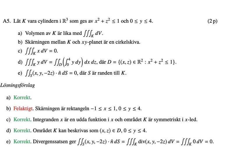
Trippelintegral
På uppg c). Hur vet man att trippelintegralen av x på K blir 0 om K är symmetrisk i x-led? Ska man tänka geometriskt? Förstår inte riktigt hur man ska tänka och resonera fram.
Bytte till cylinder koordinater och fick dubbelintegralen och delade upp dem och fick på slutet , är detta mer knepigt eller funkar detta sättet också?
Kanske bra att förstå sättet de resonerar på också, Tack på förhand.
Ja, det är bra att tänka geometriskt! Om du ritar upp intervallet kommer du att få en cylinder som går kring y-axeln. Intervallet på x-axeln är alltså symmetriskt (-1 till 1). Funktionen beror på x, och är en udda funktion. Därför blir integralen noll. :)
Det borde fungera att beräkna själva integralen också. :) Dock vet jag inte om du glömt skalfaktorn i din integrand?
Åh tack! Får kika lite närmare för du har ju rätt att jag glömt skalfaktorn, då blev ju mitt svar egentligen fel...
Ah jo den är symmetrisk runt x. Men hur förstår man geometrisk att trippelintegralen (alltså en volym?) av x blir 0 för att den är udda?
Området är en cylinder symmetriskt placerad runt y-axeln. Låtsas att du ställer dig vid toppen av y-axeln och tittar ned på xz-planet. Så här:
Då kommer du titta rakt in i cylindern, kanske ser det ut ungefär så här:
Nu hoppas jag du inser att för varje värde x i det lila området finns det ett spegelvärde, -x i det blå området, på andra sidan. De tar ut varandra. Oavsett var vi än är i y-led på cylindern. Alltså måste summan av alla x över cylindern vara 0.
Gud vad snällt att du förklarar! Så att det är en trippelintegral betyder bara att det är något i 3D (en cylinder? Och att den är över x betyder att man bara behöver ha hänsyn över x-värdena?