5
svar
160
visningar
BabySoda behöver inte mer hjälp
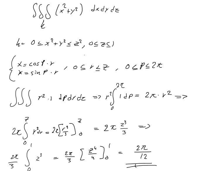
trippelintegral
uppgift:
mitt försök:

svaret ska vara pi/10
Tja!
Det var ett tag sen jag löste flervarren, men borde inte gränsvillkoret för k efter variabelsubstitutionen ha gränserna
K = 0 ≤ r^2 +z?
Vad blir dx och dy när du går över till (plan-)polära koordinater?
löste uppgiften jag hade glömt att gånga med r (funktionaldeterminante)
men jag har en följd fråga hade man kunnat byta till rymdpolära koordinater räknat med det istället?
Hur uttrycker du z < 1 i rymdpolära koordinater?