1
svar
146
visningar
itter behöver inte mer hjälp
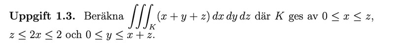
Trippelintegral
Hej! Har en fråga hur man får fram gränserna för x och z? Tänkte att z är mellan x och 2x och x är mellan z och 0 men detta stämde inte efter integrering..
