5 svar
175 visningar
blygummi behöver inte mer hjälp
blygummi 216 – Fd. Medlem
Postad: 15 aug 2019 22:18 Redigerad: 15 aug 2019 22:45

Trippelintegral - delsteg

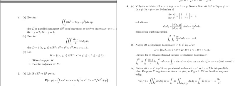
Fråga 4b) och 4 c; 

b) jag förstår hur uppställning 4b) med trippelintegralerna alstras och hur man kommer från andra steget (efter första likhetsteckenet steget till sista. Problemet logger ligger från trippelintegralen till zsinzdz, jag förstår inte det steget, alltså från vänster till höger, första likhetstecknet. Första integralen borde bara ge 2pi. Sista borde ge, z^(2)/2, mittersta är jag osäker på. Men det känns som att man inte bör beräkna dom rakt av utan att man ska multiplicera något, förändra uttrycken, möjligvis multiplicera med något z? 

 

4c) Jag skulle påstå mig på ett ungefär förstå upp till och med andra likhetstecknet, tredje likhetstecknet är där det hackar upp sig. Resten förestår jag, skulle jag vilja påstå. Det verkar som om att man evaluerar dx,dy först, varav man bör få pi*z. Hur detta görs är för mig oklart! All hjälp på vägen uppskattas väldigt mycket! 

Tack på förhand!

AlvinB 4014
Postad: 15 aug 2019 22:43 Redigerad: 15 aug 2019 22:43

Uppgift 4b:

Facit gör något som jag är mycket tveksam till, de delar på integralerna när de inte är helt oberoende av varandra. Den sista integralen beror ju av zz, och därför borde man inte få dela på rr- och zz-integralerna. Jag skulle hellre ha sett att man skrivit:

02π dθ010zsin(z)z·r dr dz=2π01sin(z)z0zr dr dz=2π01sin(z)z·z22 dz=\displaystyle\int_0^{2\pi}\ d\theta\int_0^1\int_0^z \frac{\sin(z)}{z}\cdot r\ dr\ dz=2\pi\int_0^1\frac{\sin(z)}{z}\int_0^z r\ dr\ dz=2\pi\int_0^1\frac{\sin(z)}{\cancel{z}}\cdot\frac{z^\cancel{2}}{2}\ dz=

=2π201zsinz dz\displaystyle=\frac{\cancel{2}\pi}{\cancel{2}}\int_0^1 z\sin\left(z\right)\ dz

Det är alltså integralen längst till höger som möjliggör förenklingen av mittenintegralen. Men eftersom integralen längst till höger beror av zz får man inte dela på integralerna så det är faktiskt fel i facit, dock denna gång utan några allvarligare konsekvenser än lite förvirring.

Smaragdalena 78892 – Avstängd
Postad: 15 aug 2019 22:47

blygummi, det står i Pluggakutens regler att varje fråga skall ha en egen tråd. Här verkar det vara så att både b-och c-uppgiften handlar om integraler i flera dimensioner, men det handlar inte om sammma integral eller samma område. Gör en ny tråd för c-uppgiften! Jag stryker över den delen i den här uppgiften för att minska risken att svar på båda frågorna skall hamna i samma tråd och göra det rörigt. /moderator

AlvinB 4014
Postad: 15 aug 2019 22:49 Redigerad: 15 aug 2019 22:55

Uppgift 4c:

Här använder man sig av det faktum att en integral med integranden 11 ger arean av integrationsområdet. Eftersom x2+y2zx^2+y^2\leq z beskriver en cirkelskiva med radie z\sqrt{z} kan vi använda oss av den gamla vanliga högstadieformeln πR2\pi R^2 för att få arean.

12x2+y2z dxdy dz=12areax2+y2z dz=12πz2 dz=...\displaystyle\int_1^2\iint_{x^2+y^2\leq z}\ dxdy\ dz=\int_1^2 \text{area}\left(x^2+y^2\leq z\right)\ dz=\int_1^2 \pi\left(\sqrt{z}\right)^2\ dz=...

Notera att man återigen gör sig skyldig till att dela på integralerna när man egentligen inte får det om man skriver som facit gör det.

Strök över c-frågan, eftersom det bara skall vara en fråga i varje tråd /Smaragdalena, moderator

blygummi 216 – Fd. Medlem
Postad: 16 aug 2019 02:01
AlvinB skrev:

Uppgift 4b:

Facit gör något som jag är mycket tveksam till, de delar på integralerna när de inte är helt oberoende av varandra. Den sista integralen beror ju av zz, och därför borde man inte få dela på rr- och zz-integralerna. Jag skulle hellre ha sett att man skrivit:

02π dθ010zsin(z)z·r dr dz=2π01sin(z)z0zr dr dz=2π01sin(z)z·z22 dz=\displaystyle\int_0^{2\pi}\ d\theta\int_0^1\int_0^z \frac{\sin(z)}{z}\cdot r\ dr\ dz=2\pi\int_0^1\frac{\sin(z)}{z}\int_0^z r\ dr\ dz=2\pi\int_0^1\frac{\sin(z)}{\cancel{z}}\cdot\frac{z^\cancel{2}}{2}\ dz=

=2π201zsinz dz\displaystyle=\frac{\cancel{2}\pi}{\cancel{2}}\int_0^1 z\sin\left(z\right)\ dz

Det är alltså integralen längst till höger som möjliggör förenklingen av mittenintegralen. Men eftersom integralen längst till höger beror av zz får man inte dela på integralerna så det är faktiskt fel i facit, dock denna gång utan några allvarligare konsekvenser än lite förvirring.

Tack, jag förstod faktist!

blygummi 216 – Fd. Medlem
Postad: 16 aug 2019 02:04
Smaragdalena skrev:

blygummi, det står i Pluggakutens regler att varje fråga skall ha en egen tråd. Här verkar det vara så att både b-och c-uppgiften handlar om integraler i flera dimensioner, men det handlar inte om sammma integral eller samma område. Gör en ny tråd för c-uppgiften! Jag stryker över den delen i den här uppgiften för att minska risken att svar på båda frågorna skall hamna i samma tråd och göra det rörigt. /moderator

Jag är ledsen att jag bröt mot reglerna! Jag förstod det som en fråga, alltså, såsom i detta fallet ”fråga 4” men är nu med på hur det ligger till! Får göra ett nytt inlägg i sådana fall! Tack för att du behöll fråga b)!

Svara
Close