trippelintegral - flervariabelanalys
uppgift:
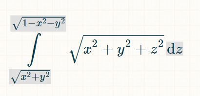
Mitt försök var att skriva trippelintegralen som en enkel integral och sen en dubbelintegraler.
gränserna för z blir då

men detta känns fel för att integralen kommer bli väldigt komplicerad.
Har du ritat området?
Micimacko skrev:Har du ritat området?
är väll en sfär med radie 1
och
är cirklar (nivåkurvor)
När man har en sfär brukar det hjälpa att byta till sfäriska koordinater.
Halvvägs dit ser du också att den undre gränsen blir en kon, z=r, så cirklarna växer utåt lika fort som uppåt och du får en rak sida.
Micimacko skrev:När man har en sfär brukar det hjälpa att byta till sfäriska koordinater.
Halvvägs dit ser du också att den undre gränsen blir en kon, z=r, så cirklarna växer utåt lika fort som uppåt och du får en rak sida.
så jag ska byta till rymd polära koordinater och räkna med
Nästan, men nu har du en hela klotet. Du vill bara ha en bit uppåt som du klipper ut med konen. Vilken vinkel lutar konens väggar i? Om du inte ser det direkt så strunta i y-koordinaten helt och rita upp det i x, z-planet.
Micimacko skrev:Nästan, men nu har du en hela klotet. Du vill bara ha en bit uppåt som du klipper ut med konen. Vilken vinkel lutar konens väggar i? Om du inte ser det direkt så strunta i y-koordinaten helt och rita upp det i x, z-planet.
menar du att T ska vara pi/4. om man gör det så får man en kon då
Japp 👍
Micimacko skrev:Japp 👍
Då får jag detta, som är en väldigt komplicerad integral.

X2 +y2 +z2 är väl bara r2?
Du har nog glömt ^2, då kan du få ihop allt med triggetten 2 gånger, om du inte ser det direkt.
Micimacko skrev:X2 +y2 +z2 är väl bara r2?
Du har nog glömt ^2, då kan du få ihop allt med triggetten 2 gånger, om du inte ser det direkt.
svaret blir då
svar i facit är
Vad hände med dxdydz? Samma sak här som i din andra tråd.
Micimacko skrev:Vad hände med dxdydz? Samma sak här som i din andra tråd.
jaaaa men självklart... Fattar inte varför jag glömmer det hela tiden....