0
svar
233
visningar
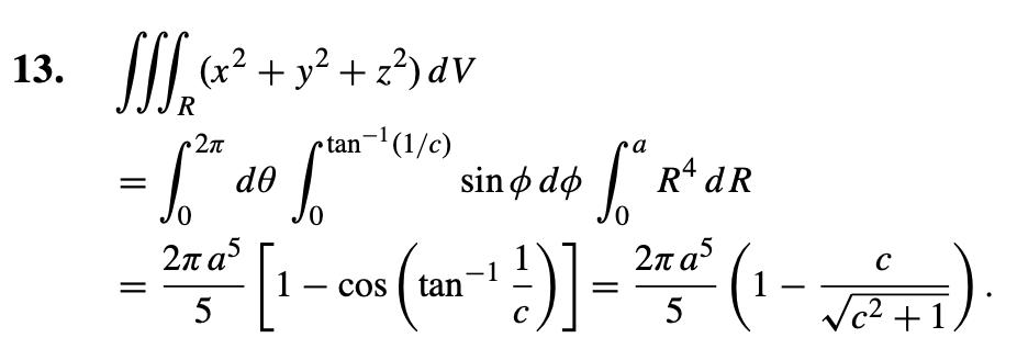
Trippelintegral gränser sfäriska koordinater


Jag har glömt hur det är med koner, är c själva lutningen eller "hypotenusan" av konen? Eller hur fungerar det? Och varför blir arctan(1/c) blir gränsen för ? Om c är sträckan borde inte då gå till arctan(a/c)? Varför 1/c?