Trippelintegral - Varför gjorde hon såhär?
Hej!
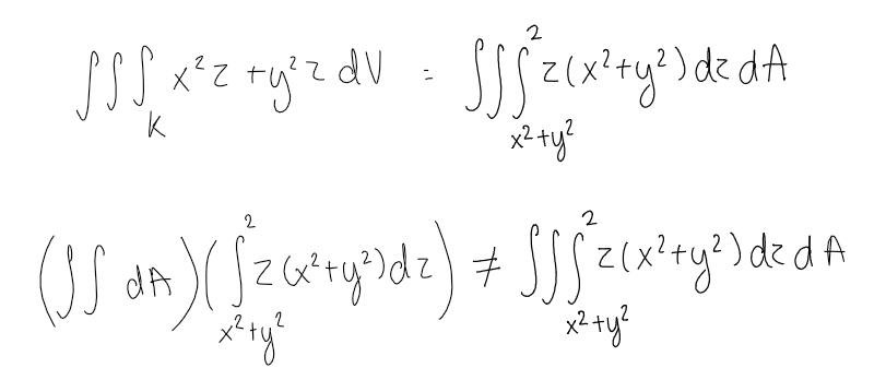
1. Är det någon anledning eller särskild tanke bakom att min proffessor tog dz integralen "ut"?
2. Är olikheten sant? Jag trodde inte man kunde dra ut dem för att multiplicera istället?
Jag ser att hon sedan sätter resultatet av dz tillbaka "till mitten" i lösningsförslaget - men det gör mig virrig och nu frågesätter jag vad som stämmer...

Jag hjälpte till med ett liknande problem för ett tag sen. Titta på den lösningen så kanske det klarnar.
Din lärare gör ej rätt. Hon kanske tänker rätt, men skriver fel.
PS. Hon stavar som en kratta. Kanske någon utländsk gästprofessor?
Tack Trinity2! Ja det verkar vara flera fel i denna facit,
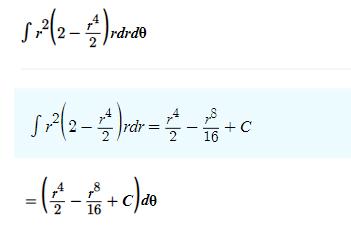
ifall det är nån som är nyfiken så borde sista raden stå såhär innan 0 till sqrt(2) stoppas in.

(Och tack CurtJ!)
(så, om jag gjort rätt nu så borde svaret se såhär ut 