Trippelintegraler
Hejsan!
Jag undrar vilka olika typer/metoder det finns för trippelintegraler? Jag har precis börjat lära mig trippelintegral.
Det jag känner igen är cylinder koordinater ( polära koordinater med z tillägg) och rymdpolärer men finns det andra typer också som variabel byte dvs u och v eller dem tillhör bara dubbelintegraler.
Skulle också vilja veta mer om när man ska använda cylinder koordinater , rymdpolärer osv. Tacksam om jag får mer info om vad jag ska tänka på när jag räknar trippelintegral
Tack
Du kan hitta på egna byten likadant. Det går tex att byta i två variabler och bara behålla den tredje, lite som cylinder. Det är väldigt lite som skiljer en dubbel och trippelintegral, så räkna på som vanligt och skaffa mycket erfarenhet av olika 3d-figurer så får man snart en bra känsla för det.
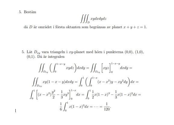
Men hur ska jag rita områtet som begränsar 3x+2y+z=3 exempelvis? Hur ska man tänka, jag tänkte såhär
0 <z<3-3x-2y
0<y<3/2-3x/2
0<x<1
vilket var fel när jag körde ett exempel och då funkar inte på att gissas utan man måste alltid rita men hur skulle du ha ritat det hur ska man tänka
Tänker också på hur man kan rita |x|+|y|=2 , 0<z<x+y.
3x+2y+z=3 är ett plan. Det kan inte begränsa någonting ensamt. Med belopp inblandat får man dela in i olika fall oftast så du får bort dem.
Det finns visa fall jag har sett göra sådär som nedan att dem bara flyttar på det och då tänker jag när man ska göra det ?
0 <z<3-3x-2y
0<y<3/2-3x/2
0<x<1
Exempel på det här, varför?

Hur hade du löst den om det var en dubbelintegral? Ignorera z och testa