Trippleintegral Gauss
Har en fråga om vad som förväntas av mig vad gäller beräkningar till denna uppgift. Ska man inte ställa upp sfäriska koordinater här och ersätta osv. Har inte tidigare sett denna typ av genväg som används i facit. Men det blir ju bra mycket enklare. Frågan är bara om läraren godkänner ett sådant svar?

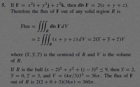
Facit

Att ger x-koordinaten hos M:s geometriska tyngdpunkt är välkänt inom analysen, särskilt i tillämpad analys så som inom ingenjörsprogram.
Sådan metod är 'fair game' även om man måste vara mycket precis i sin kommunikation och sin begreppsanvändning.
SeriousCephalopod skrev:Att ger x-koordinaten hos M:s geometriska tyngdpunkt är välkänt inom analysen, särskilt i tillämpad analys så som inom ingenjörsprogram.
Sådan metod är 'fair game' även om man måste vara mycket precis i sin kommunikation och sin begreppsanvändning.
Jag har aldrig använt mig av den metoden tidigare, så som facit visar. Kan man lika gärna använda sfäriska koordinater?
Ja, självklart.
Men då skulle jag för enkelhets skull rekommendera att du lägger ett sfäriskt koordinatsystem med centrum i klotet (klotet har radien 3 och dess centrum är (2,0,3)), så här:
Och för att göra det riktigt enkelt kan du vara uppmärksam på eventuella symmetrier :)
D4NIEL skrev:Ja, självklart.
Men då skulle jag för enkelhets skull rekommendera att du lägger ett sfäriskt koordinatsystem med centrum i klotet (klotet har radien 3 och dess centrum är (2,0,3)), så här:
Och för att göra det riktigt enkelt kan du vara uppmärksam på eventuella symmetrier :)
Juste, kommer nu ihåg att det var liknande teknik om man hade en cirkel i xy-planet. Tackar :)