0
svar
183
visningar
19antonov09 behöver inte mer hjälp
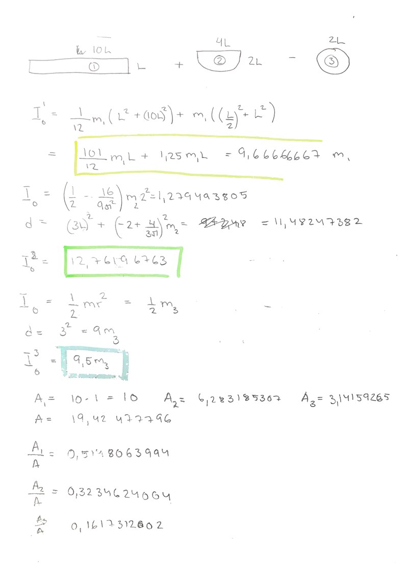
Tröghetsmoment
Har gjort ett antal uppgifter på tröghetsmoment men får alltid något off svar. Sitter med denna nu och min uträkning syns under får ut att det ska vara 7,568032142mL^2 men blir osäker på om jag gjort rätt för halvcirkeln?

