Jag förstår tyvärr inte vad du försökt räkna ut. Det får du försöka förklara. Annars finns det två enkla sätt; Steiners för tre kvadrater eller Steiners för en kvadrat.
Tröghetsmomentet kring en axel parallell med z-axeln som går genom masscentrum för en kvadrat med sida och massa M är:
Masscentrum för kvadraterna ligger alla på avståndet från z-axeln vilket ger:
Frågan nu är bara vad och är lika med.
Tack så jättemycket för ditt svar!
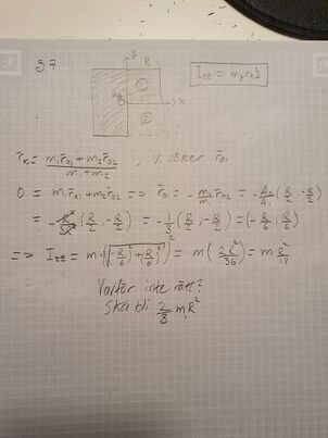
Jag försökte få fram masscentrum för den avskurna kroppen och sedan ta hypotenusan från detta masscentrum och multiplicera det med massan. Men jag inser att detta kanske inte är rätt tänk..
Jag löste det dock! Jag tog fram tröghetsmomentet för den stora, "hela", kvadraten och för den lilla. Eftersom tröghetsmoment är additivt kan jag sedan få fram tröghetsmomentet för den avskurna kroppen genom att subtrahera tröghetsmomentet för den lilla kvadraten från tröghetsmomentet från den stora.
Jepp, antingen det eller det jag gjorde. Båda ger samma svar.

