Tröghetsmoment
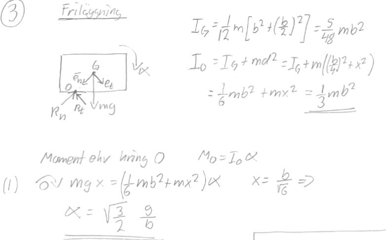
Hej! Jag får inte rätt på tröghetsmomentet på den här uppgiften. Jag tror inte att blir rätt. Jag har tänkt att där a =b/2. Är detta fel?



Jag tror att din misstanke är rätt. Det tillagda G:et i andra bilden (formelsamlingen) verkar inte stämma. Efter att ha googlat lite och tafatt försökt lösa en dubbelintegral verkar det som att det ska vara 12 i nämnaren, se t.ex. https://www.olleh.se/start/teori/teori-rotation.htm
Okej, tack för hjälpen! Är och då måtro?
.
Ja, så skulle jag tro att det är.
Tusen tack!
Jag har kommit vidare i uppgiften men får inte fram rätt svar. Nu när jag kollar i lösningsförslaget ser det ut som att de kommer fram till att är noll - varför det?



Jag var nog trött när jag skrev det förra inlägget. De har ej räknat med vinkelacceleration. är däremot satt till noll. Jag förstår att rektangeln, när den välter, välter runt O. Men samtidigt tycker jag att det är g som är hela accelerationen. Jag har därför svårt att förstå varför .
är noll då skivan är i vila initialt. Då blir an också noll. Tyngdpunkten rör sig på en cirkel med centrum i O. an = v2/d = d.
Accelerationen skulle bli g om endast tyngdkraften verkat. Men du har ytterligare krafter i O som påverkar rörelsen.